Fig. 15.

Download original image
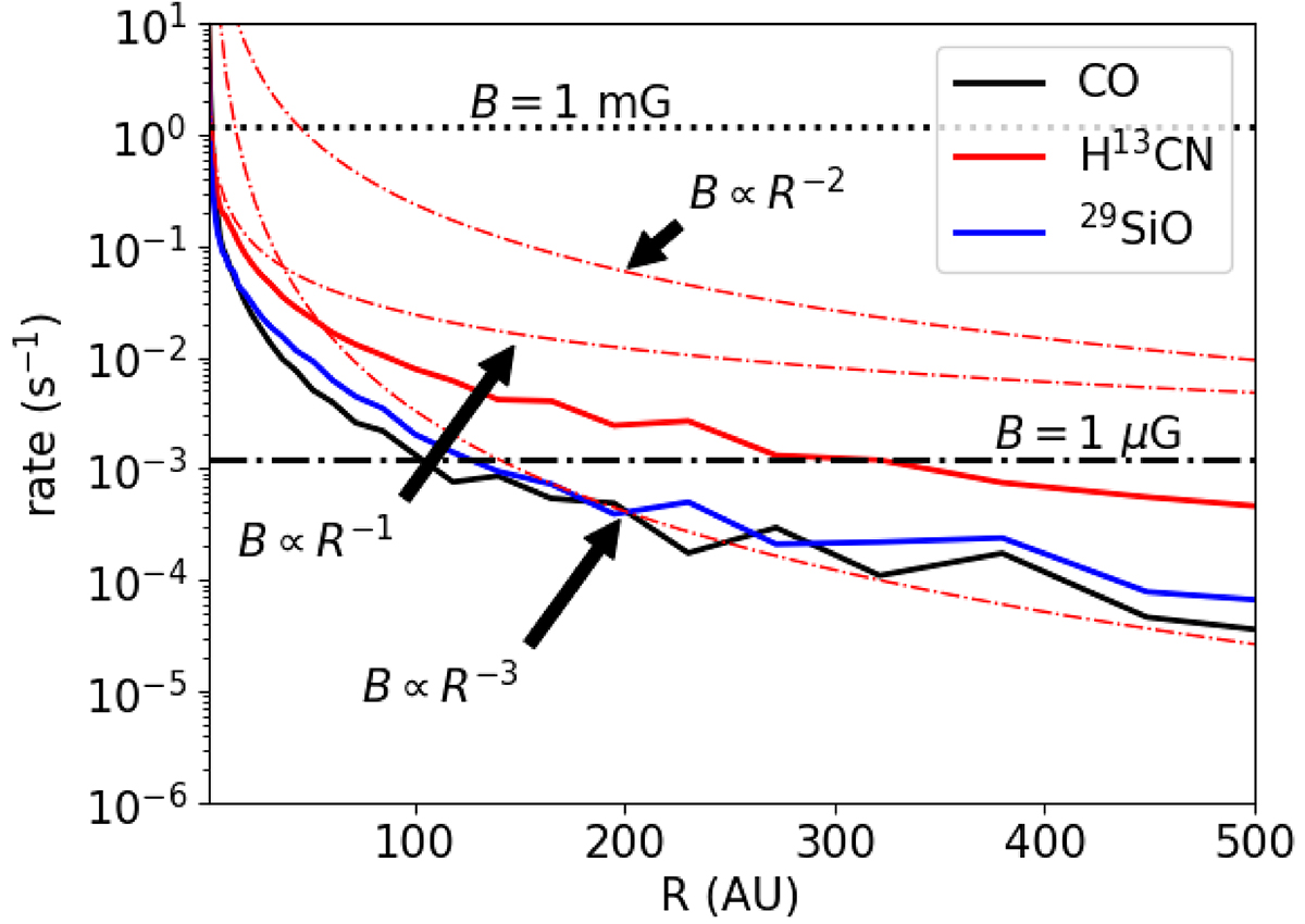
Comparison of the radiative interaction (solid lines) and magnetic precession rates (dash-dotted lines) of the investigated molecules towards R Leo. Magnetic precession rates are given for magnetic fields B = Bsurf(R/Rstar)−q, adopting q = 2 and 3. The black dotted and dash-dotted lines indicate the molecular magnetic precession rates at 1 mG and 1 μG, respectively.
Current usage metrics show cumulative count of Article Views (full-text article views including HTML views, PDF and ePub downloads, according to the available data) and Abstracts Views on Vision4Press platform.
Data correspond to usage on the plateform after 2015. The current usage metrics is available 48-96 hours after online publication and is updated daily on week days.
Initial download of the metrics may take a while.