Fig. 7.

Download original image
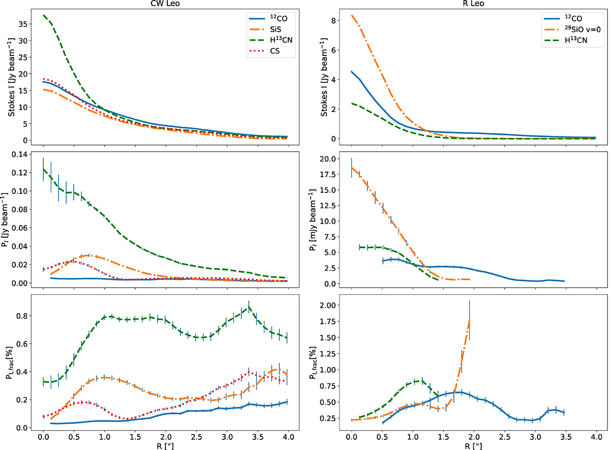
Azimuthally averaged Stokes I (top), polarised intensity (Pl; middle), and polarisation fraction (Pl, frac; bottom), taken in the channel that includes the stellar velocity, for CW Leo (left column) and R Leo (right column). For CW Leo, we show CO J = 3 − 2, SiS J = 19 − 18, H13CN J = 4 − 3, and CS J = 7 − 6. For R Leo, we show CO J = 3 − 2, 29SiO v = 0, J = 4 − 3, and H13CN J = 4 − 3. We did not include the mostly unresolved SiO v = 1 and v = 2, J = 8 − 7 transitions. The profiles of Pl and Pl, frac include the error bars from the azimuthal averaging, and only radial points for which the S/N is greater than five are plotted. Because of the averaging, the polarisation fraction is much less than the maximum fraction detected in the image cubes for each line. Beyond one-third, the ALMA primary beam size (at R ≈ 3.0) systematic errors might start to contribute to the polarisation signal. We note that the units for the polarised intensity are different for the two middle plots for CW Leo (Jy beam−1) and R Leo (mJy beam−1).
Current usage metrics show cumulative count of Article Views (full-text article views including HTML views, PDF and ePub downloads, according to the available data) and Abstracts Views on Vision4Press platform.
Data correspond to usage on the plateform after 2015. The current usage metrics is available 48-96 hours after online publication and is updated daily on week days.
Initial download of the metrics may take a while.