Fig. 3

Download original image
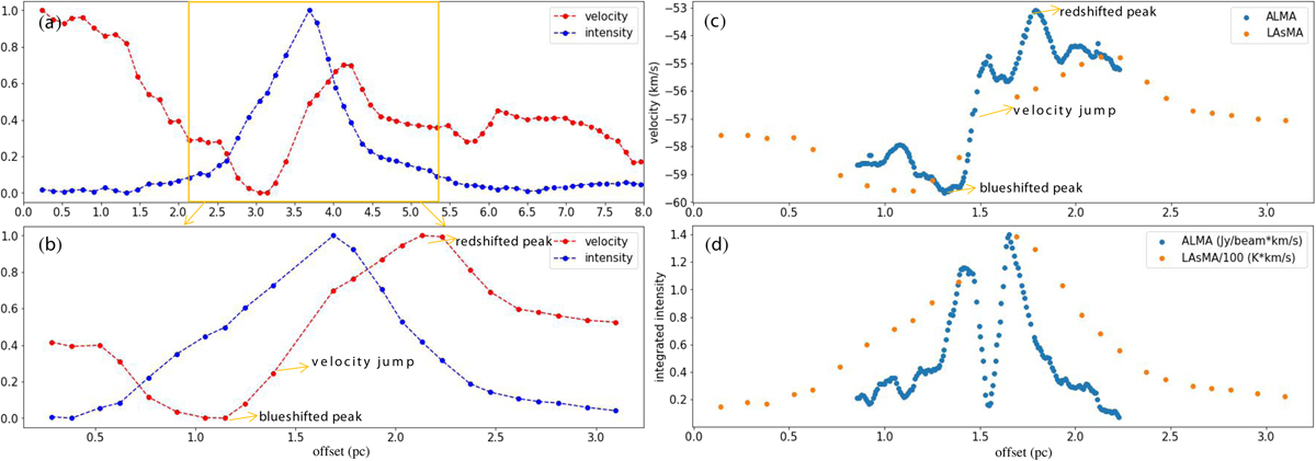
(a) Normalized velocity and intensity along the filament LAsMA-f3 in Fig. 2a; here we can see a blueshifted V-shape velocity structure. (b) Segment of panel a around the central hub; here we can see a V+Λ-shape velocity structure. (c) and (d) Velocity and intensity along the segment of LAsMA-f3 in panel b compared to the velocity and intensity along the filament ALMA-f3 in Fig. 2b.
Current usage metrics show cumulative count of Article Views (full-text article views including HTML views, PDF and ePub downloads, according to the available data) and Abstracts Views on Vision4Press platform.
Data correspond to usage on the plateform after 2015. The current usage metrics is available 48-96 hours after online publication and is updated daily on week days.
Initial download of the metrics may take a while.