Open Access
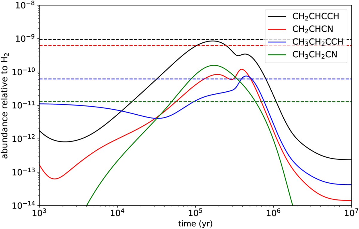
Fig. 9

Download original image
Calculated fractional abundances of the CCH and CN derivatives of C2H4 and C2H6 as a function of time. The horizontal dashed lines correspond to the abundances observed in TMC-1.
Current usage metrics show cumulative count of Article Views (full-text article views including HTML views, PDF and ePub downloads, according to the available data) and Abstracts Views on Vision4Press platform.
Data correspond to usage on the plateform after 2015. The current usage metrics is available 48-96 hours after online publication and is updated daily on week days.
Initial download of the metrics may take a while.