Open Access
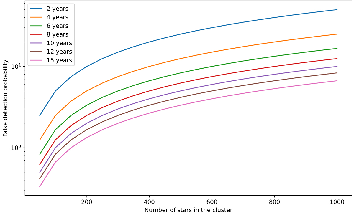
Fig. 19.

Download original image
Monte Carlo simulations of the probability of detecting a confused star for different data baselines and cluster members. The y-axis is logarithmically scaled. For cluster sizes ≤100 stars and data baseline ≈15 yr, the probability of detecting a confused star is < 1%.
Current usage metrics show cumulative count of Article Views (full-text article views including HTML views, PDF and ePub downloads, according to the available data) and Abstracts Views on Vision4Press platform.
Data correspond to usage on the plateform after 2015. The current usage metrics is available 48-96 hours after online publication and is updated daily on week days.
Initial download of the metrics may take a while.