Fig. D.2.

Download original image
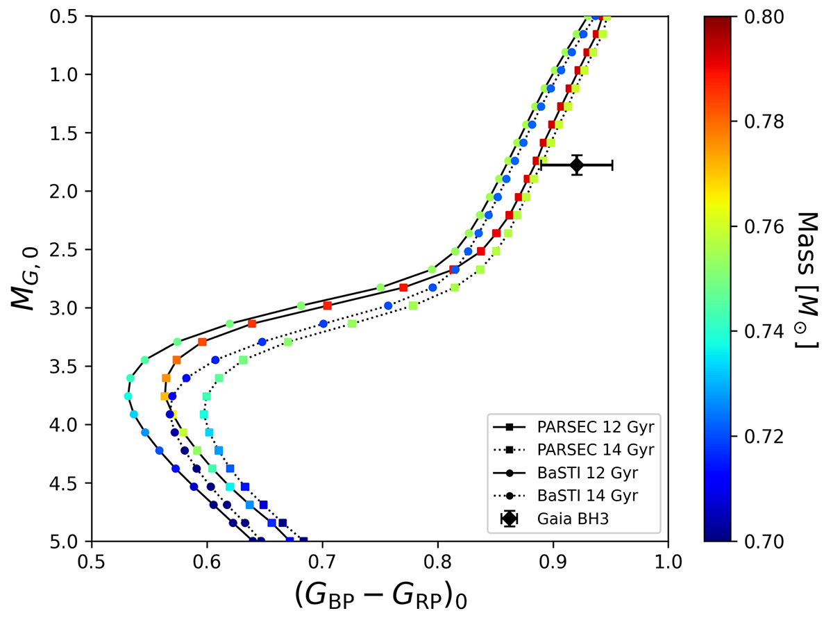
Comparison between the position of Gaia BH3 and isochrones in the colour-magnitude diagram. The colours of the symbols (filled circles for BaSTI and filled squares for PARSEC), on the two isochrones sets (12 and 14 Gyr), correspond to the stellar masses.
Current usage metrics show cumulative count of Article Views (full-text article views including HTML views, PDF and ePub downloads, according to the available data) and Abstracts Views on Vision4Press platform.
Data correspond to usage on the plateform after 2015. The current usage metrics is available 48-96 hours after online publication and is updated daily on week days.
Initial download of the metrics may take a while.