Fig. 6.

Download original image
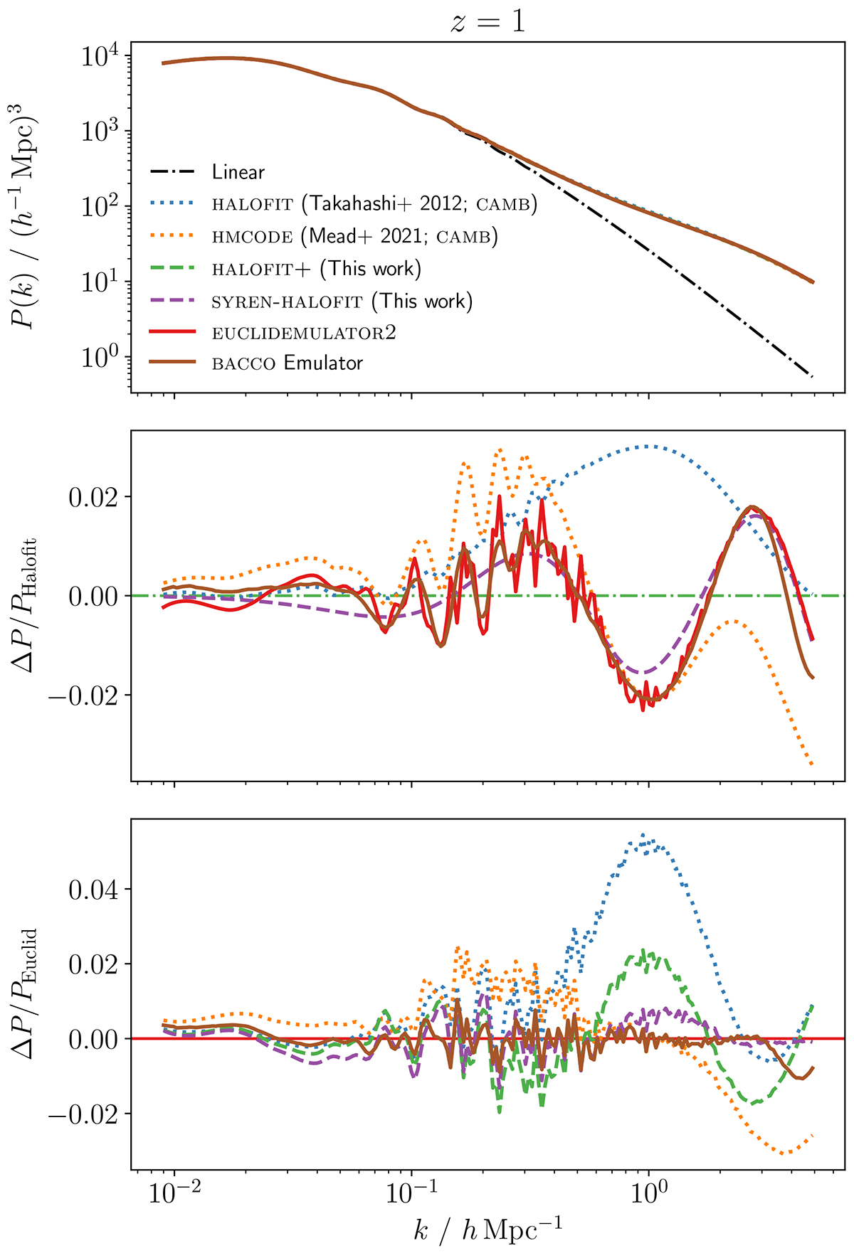
Matter power spectrum predictions at redshift 1.0 for the Planck 2018 cosmology (Planck Collaboration VI 2020). We compare the linear theory prediction to that produced by HALOFIT with the parameters of Takahashi et al. (2012); HMCODE as described by Mead et al. (2021); the HALOFIT implementation presented in this work both with (SYREN-HALOFIT) and without (HALOFIT+) the correction given by Eq. (40); EUCLIDEMULATOR2; and the BACCO emulator. The top panel shows the predicted power spectrum and the lower two panels give the residuals with respect to the HALOFIT version of this work without the correction of Eq. (40) and EUCLIDEMULATOR2.
Current usage metrics show cumulative count of Article Views (full-text article views including HTML views, PDF and ePub downloads, according to the available data) and Abstracts Views on Vision4Press platform.
Data correspond to usage on the plateform after 2015. The current usage metrics is available 48-96 hours after online publication and is updated daily on week days.
Initial download of the metrics may take a while.