Open Access
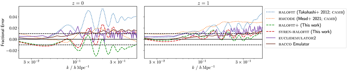
Fig. 7.

Download original image
Fractional error on the nonlinear power spectrum as a function of wavenumber, k, for various emulators at redshifts 0 and 1. We take the truth to be the average over all QUIJOTE simulations considered. For reference, the dashed horizontal lines indicate a ±1% error band.
Current usage metrics show cumulative count of Article Views (full-text article views including HTML views, PDF and ePub downloads, according to the available data) and Abstracts Views on Vision4Press platform.
Data correspond to usage on the plateform after 2015. The current usage metrics is available 48-96 hours after online publication and is updated daily on week days.
Initial download of the metrics may take a while.