Open Access
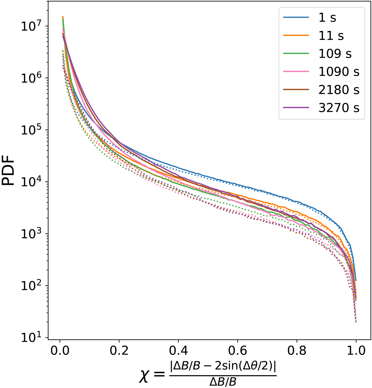
Fig. 3.

Download original image
Distributions of χ, the normalised difference between the magnetic vector increments and the corresponding angle if this were due to pure rotation. The different colors represent different values of τ. The solid lines are drawn at distances below 0.1 au, and the dotted lines are drawn at distances between 0.4 and 0.5 au.
Current usage metrics show cumulative count of Article Views (full-text article views including HTML views, PDF and ePub downloads, according to the available data) and Abstracts Views on Vision4Press platform.
Data correspond to usage on the plateform after 2015. The current usage metrics is available 48-96 hours after online publication and is updated daily on week days.
Initial download of the metrics may take a while.