Open Access
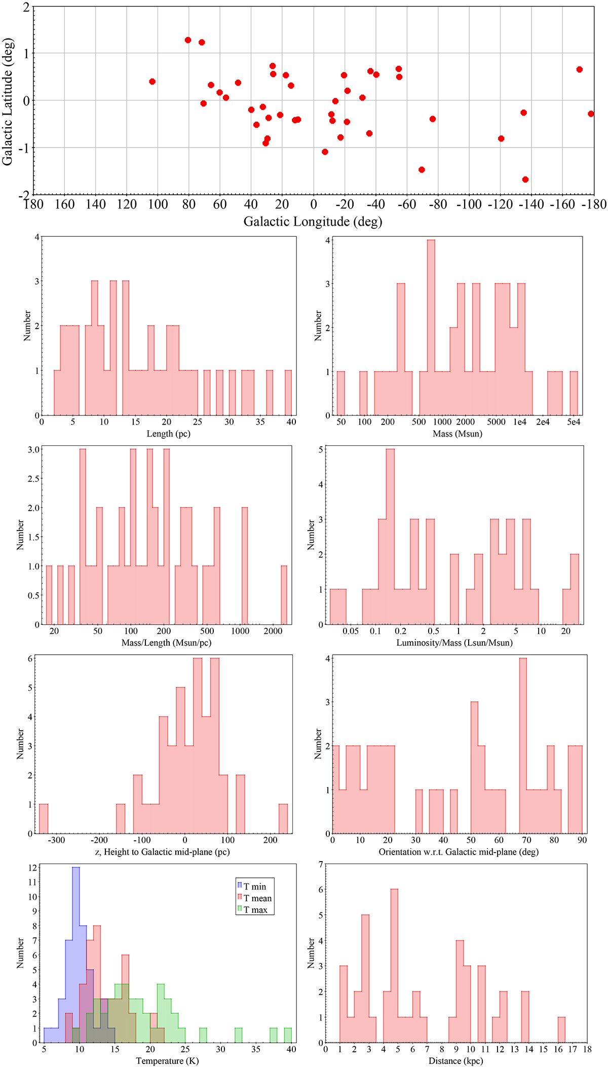
Fig. A.1.

Download original image
Properties of the 42 linear filaments. Some parameters are plotted in logarithmic scale for better illustration at the long tails in distribution. The temperature histogram shows the minimum, maximum, and mean temperature of the clumps in filaments. Mass, mass/length ratio, and luminosity are lower limits (Sect. 3.1).
Current usage metrics show cumulative count of Article Views (full-text article views including HTML views, PDF and ePub downloads, according to the available data) and Abstracts Views on Vision4Press platform.
Data correspond to usage on the plateform after 2015. The current usage metrics is available 48-96 hours after online publication and is updated daily on week days.
Initial download of the metrics may take a while.