Fig. 2.

Download original image
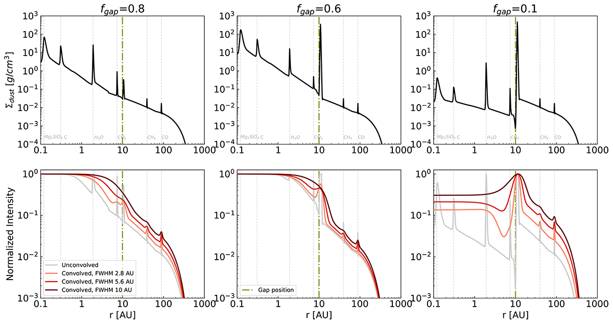
Surface density of solids (top) and normalised intensity (bottom) as a function of orbital distance at 1 Myr for three gap depths (marked by circles in Fig. 1). We compare the unconvolved intensity with the ones convolved with three different beams. The gray dashed lines show the evaporation fronts that mainly cause the spikes in the intensity.
Current usage metrics show cumulative count of Article Views (full-text article views including HTML views, PDF and ePub downloads, according to the available data) and Abstracts Views on Vision4Press platform.
Data correspond to usage on the plateform after 2015. The current usage metrics is available 48-96 hours after online publication and is updated daily on week days.
Initial download of the metrics may take a while.