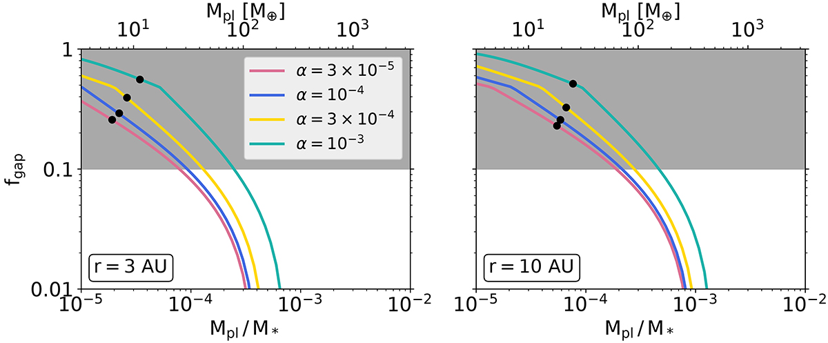
Fig. E.1.

Download original image
Gap depth as a function of planet mass for different disc viscosities at r = 3 AU and 10 AU. Grey bands mark the range of values for fgap that can be generated by zonal flows (Flock et al. 2015). Black dots mark the pebble isolation masses as computed from Bitsch et al. (2018). For α ≤ 3 × 10−4, the pebble isolation masses are in the deep gap regime while higher α results in pebble isolation masses within the shallow gap regime.
Current usage metrics show cumulative count of Article Views (full-text article views including HTML views, PDF and ePub downloads, according to the available data) and Abstracts Views on Vision4Press platform.
Data correspond to usage on the plateform after 2015. The current usage metrics is available 48-96 hours after online publication and is updated daily on week days.
Initial download of the metrics may take a while.