Fig. 2.

Download original image
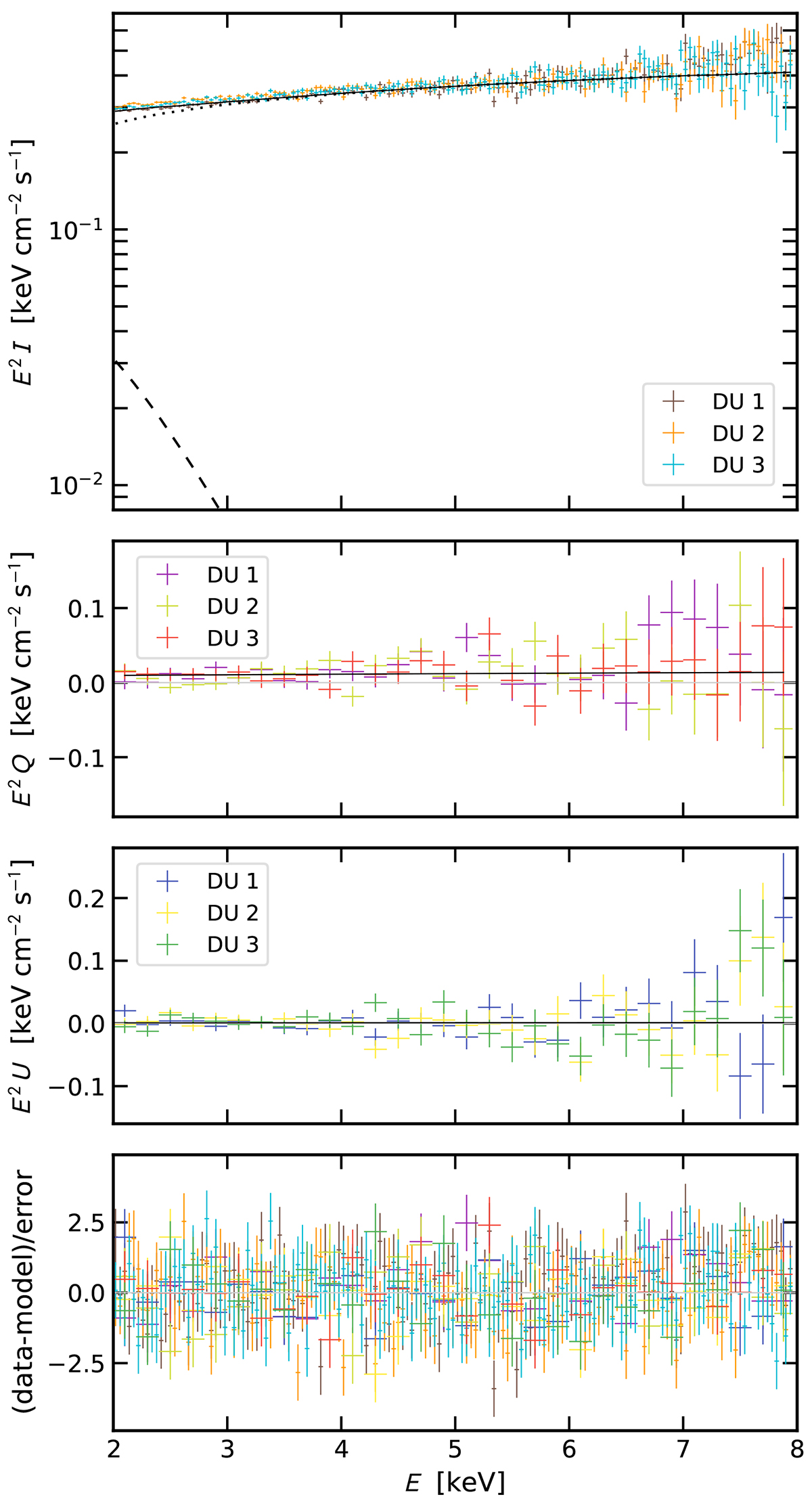
X-ray time-averaged spectra of Swift J1727.8–1613 in the dim hard state (observation 8), as obtained from IXPE DU 1, DU 2, and DU 3. We show the unfolded Stokes parameters I, Q, and U, multiplied by E2, alongside the best-fit Model (1) from XSPEC. The total model is shown with solid lines for all Stokes parameters. For Stokes I, we also display the diskbb component (with dashed lines) and the powerlaw component (with dotted lines) to illustrate that the contribution of the thermal component was very low in the 2–8 keV band, according to the IXPE data. The bottom panel shows the fit residuals. The Q and U data were re-binned by energy for plotting purposes only (using the XSPEC command setplot rebin 10.0 5).
Current usage metrics show cumulative count of Article Views (full-text article views including HTML views, PDF and ePub downloads, according to the available data) and Abstracts Views on Vision4Press platform.
Data correspond to usage on the plateform after 2015. The current usage metrics is available 48-96 hours after online publication and is updated daily on week days.
Initial download of the metrics may take a while.