Open Access

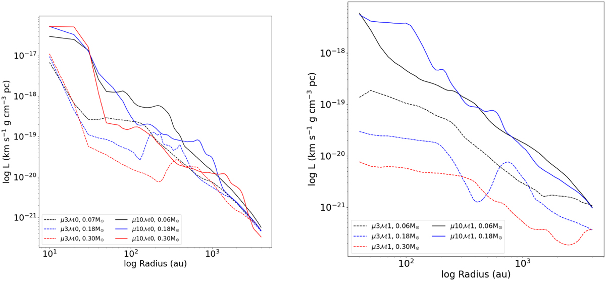
Fig. B.1

image

Download original image

Radial profiles of the gas angular momentum in the models (defined as L in the description above; see Eq. B.4). The colors and lines are presented as in Fig.4. The left and right panels present nonturbulent and turbulent models, respectively.

Current usage metrics show cumulative count of Article Views (full-text article views including HTML views, PDF and ePub downloads, according to the available data) and Abstracts Views on Vision4Press platform.

Data correspond to usage on the plateform after 2015. The current usage metrics is available 48-96 hours after online publication and is updated daily on week days.

Initial download of the metrics may take a while.