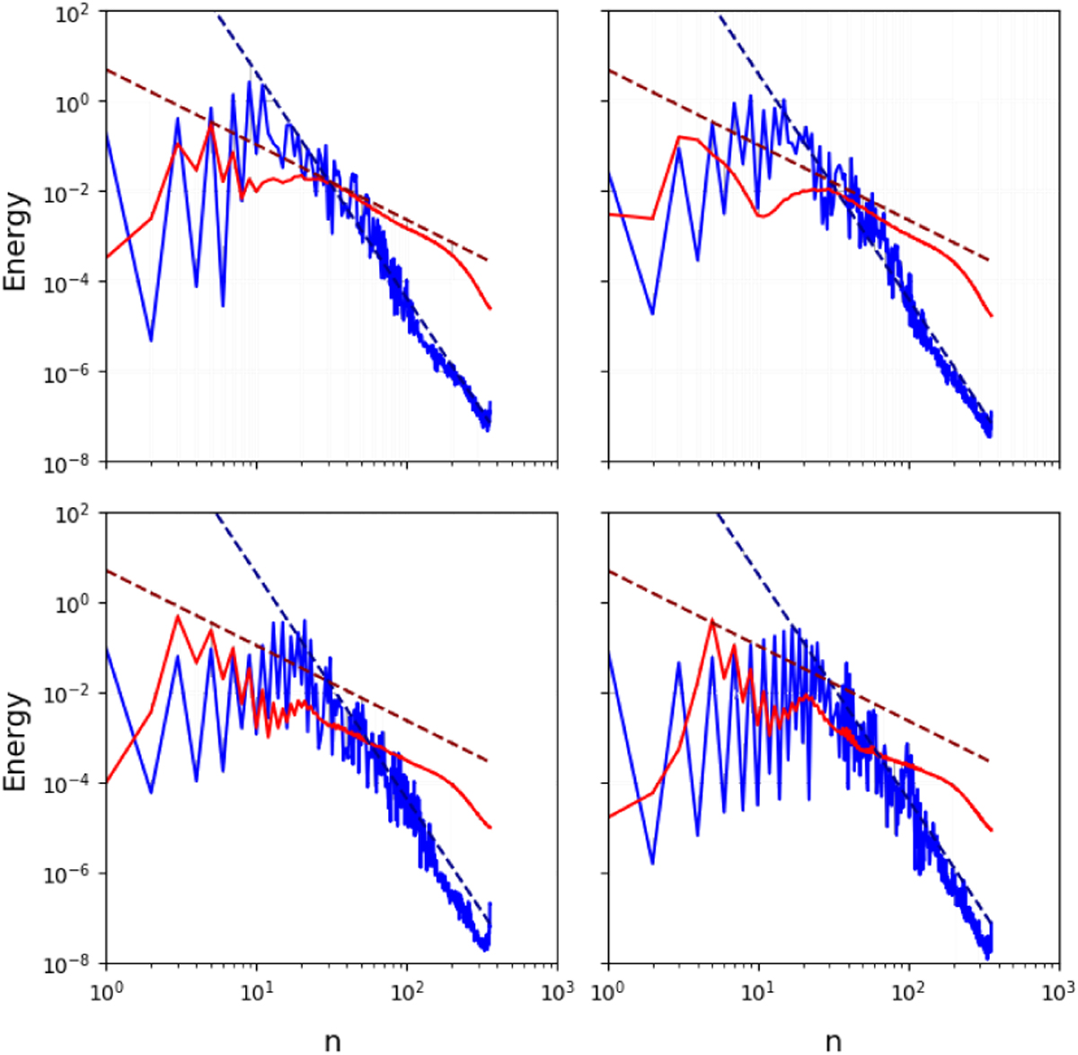
Fig. 16

Download original image
Spectral analysis of the global-scale kinetic energy decomposed into spherical harmonics of spatial order n for our Jupiter-DYNAMICO simulations. The top left plot shows the dry simulation, and the top right, bottom left, and top left shows the 1 SA, 3 SA, and 5 SA moist simulations, respectively. Details on the computations of this diagnostic are reported in Cabanes et al. (2020b). The axisymmet-ric component (i.e., the contribution of zonally averaged zonal jets) is represented in blue, and the nonaxisymmetric component (i.e., the contribution of the eddies) is represented in red. The distribution of the kinetic energy between the axisymmetric (the jets) and nonaxisym-metric (the eddies) parts of the flow can be computed through the decomposition of the horizontal wind fields over the spherical harmonics. The expected regimes for the axisymmetric component (blue) and the eddy component (red) are provided as dashed lines in the figure.
Current usage metrics show cumulative count of Article Views (full-text article views including HTML views, PDF and ePub downloads, according to the available data) and Abstracts Views on Vision4Press platform.
Data correspond to usage on the plateform after 2015. The current usage metrics is available 48-96 hours after online publication and is updated daily on week days.
Initial download of the metrics may take a while.