Fig. 4

Download original image
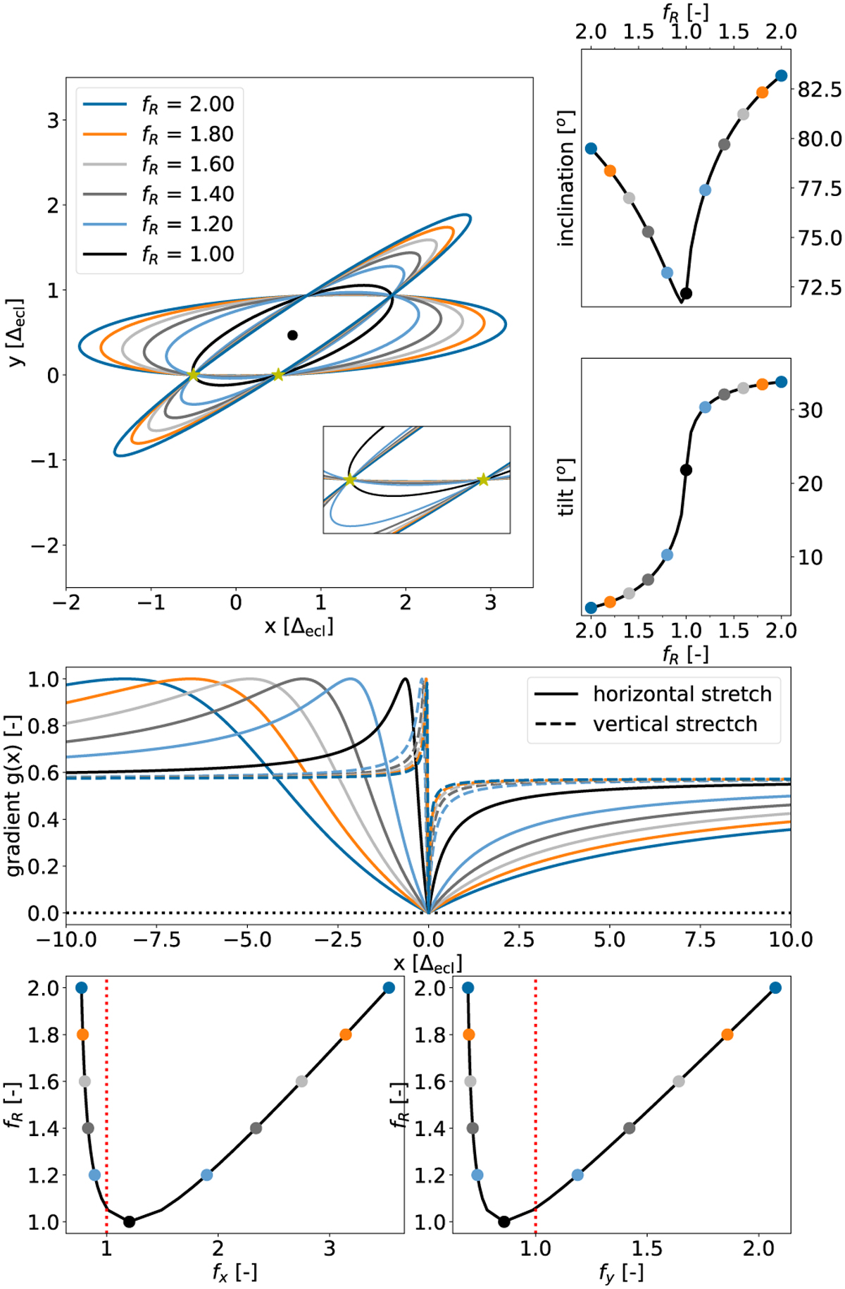
Effects of ƒR on disc geometry. Top left: changes in disc shape and geometry. Top-upper right: evolution of inclination with ƒR. Top-lower right: evolution of tilt with ƒR. Middle: evolution of the theoretical maximum gradient with ƒR. Bottom left: evolution of ƒR with ƒx. Bottom right: evolution of ƒR with ƒx. We note that this disc is centred on (δx, δy) = (0.67, 0.47) in ∆ecl.
Current usage metrics show cumulative count of Article Views (full-text article views including HTML views, PDF and ePub downloads, according to the available data) and Abstracts Views on Vision4Press platform.
Data correspond to usage on the plateform after 2015. The current usage metrics is available 48-96 hours after online publication and is updated daily on week days.
Initial download of the metrics may take a while.