Fig. 10

Download original image
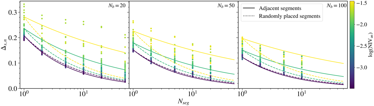
Reducing the intrinsic scatter by computing the geometric mean NIV for Nseg distant or adjoined segments of Nb bins each. The data points indicate the results of individual simulations for adjoined segments. The lines depict the best fits to the simulations, using Eqs. (14) and (10), and the parameter values in Tables 2, and 3. The solid lines show the dependence of ∆s,n on Nseg for adjoined segments, and the dotted lines for distant, randomly placed segments.
Current usage metrics show cumulative count of Article Views (full-text article views including HTML views, PDF and ePub downloads, according to the available data) and Abstracts Views on Vision4Press platform.
Data correspond to usage on the plateform after 2015. The current usage metrics is available 48-96 hours after online publication and is updated daily on week days.
Initial download of the metrics may take a while.