Open Access
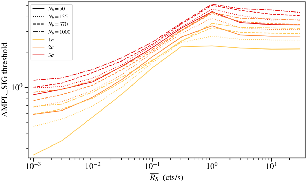
Fig. 3

Download original image
1, 2, and 3σ thresholds on AMPL_SIG for identifying variable sources. The colours and line styles are the same as those in Fig. 2.
Current usage metrics show cumulative count of Article Views (full-text article views including HTML views, PDF and ePub downloads, according to the available data) and Abstracts Views on Vision4Press platform.
Data correspond to usage on the plateform after 2015. The current usage metrics is available 48-96 hours after online publication and is updated daily on week days.
Initial download of the metrics may take a while.