Fig. 17.

Download original image
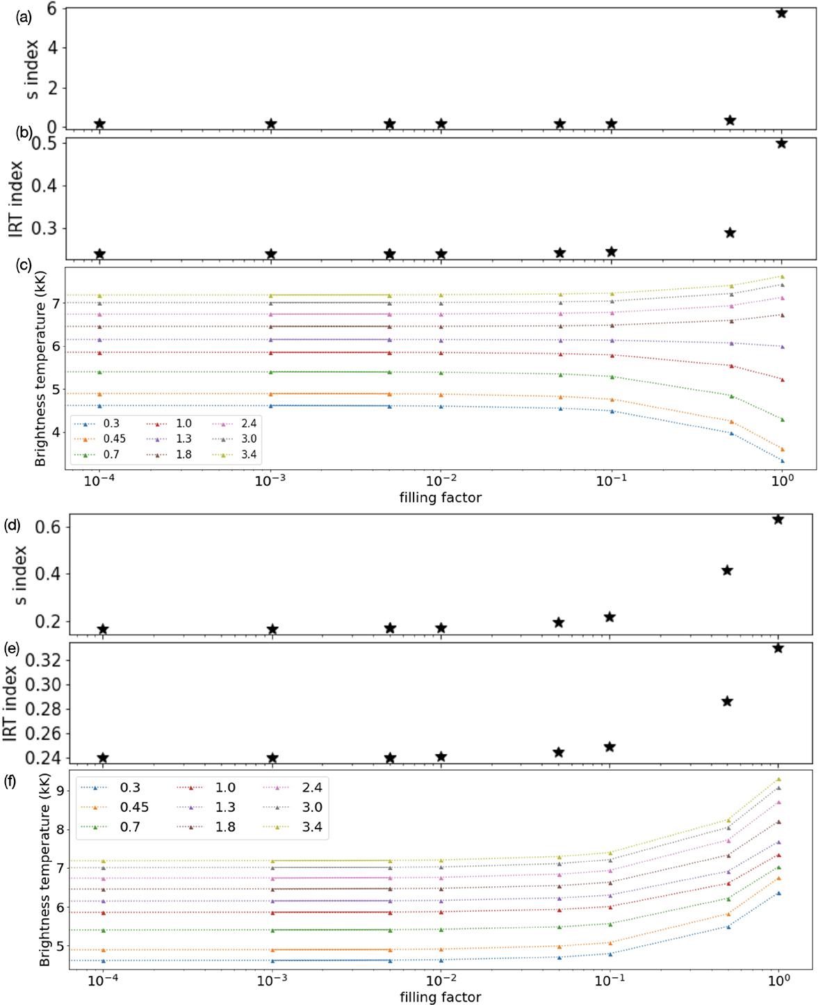
s index (panels a and d), IRT index (panels b and e), and the brightness temperatures at the mm wavelengths shown in the legend (panels c and f) as a function of filling factors. The filling factors are considered to be 0.0001, 0.005, 0.001, 0.005, 0.01, 0.05, 0.1, 0.5, and 1.0. The upper box shows plots for the sunspot model by Severino et al. (1994) and the lower box, for the plage model by Fontenla et al. (2009).
Current usage metrics show cumulative count of Article Views (full-text article views including HTML views, PDF and ePub downloads, according to the available data) and Abstracts Views on Vision4Press platform.
Data correspond to usage on the plateform after 2015. The current usage metrics is available 48-96 hours after online publication and is updated daily on week days.
Initial download of the metrics may take a while.