Fig. 3

Download original image
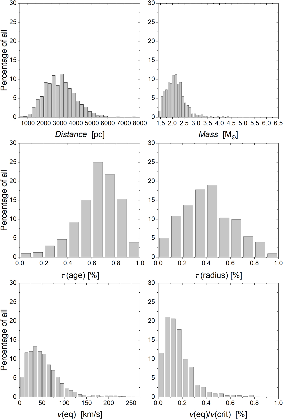
Distributions of the distance from the Sun (upper-left panel), mass (upper-right panel), fraction of life spent on the main sequence (middle-left panel), fraction of radius between the ZAMS and TAMS (middle-right panel), equatorial velocity (lower-left panel), and ratio of equatorial to critical velocity (lower-right panel).
Current usage metrics show cumulative count of Article Views (full-text article views including HTML views, PDF and ePub downloads, according to the available data) and Abstracts Views on Vision4Press platform.
Data correspond to usage on the plateform after 2015. The current usage metrics is available 48-96 hours after online publication and is updated daily on week days.
Initial download of the metrics may take a while.