Fig. 24

Download original image
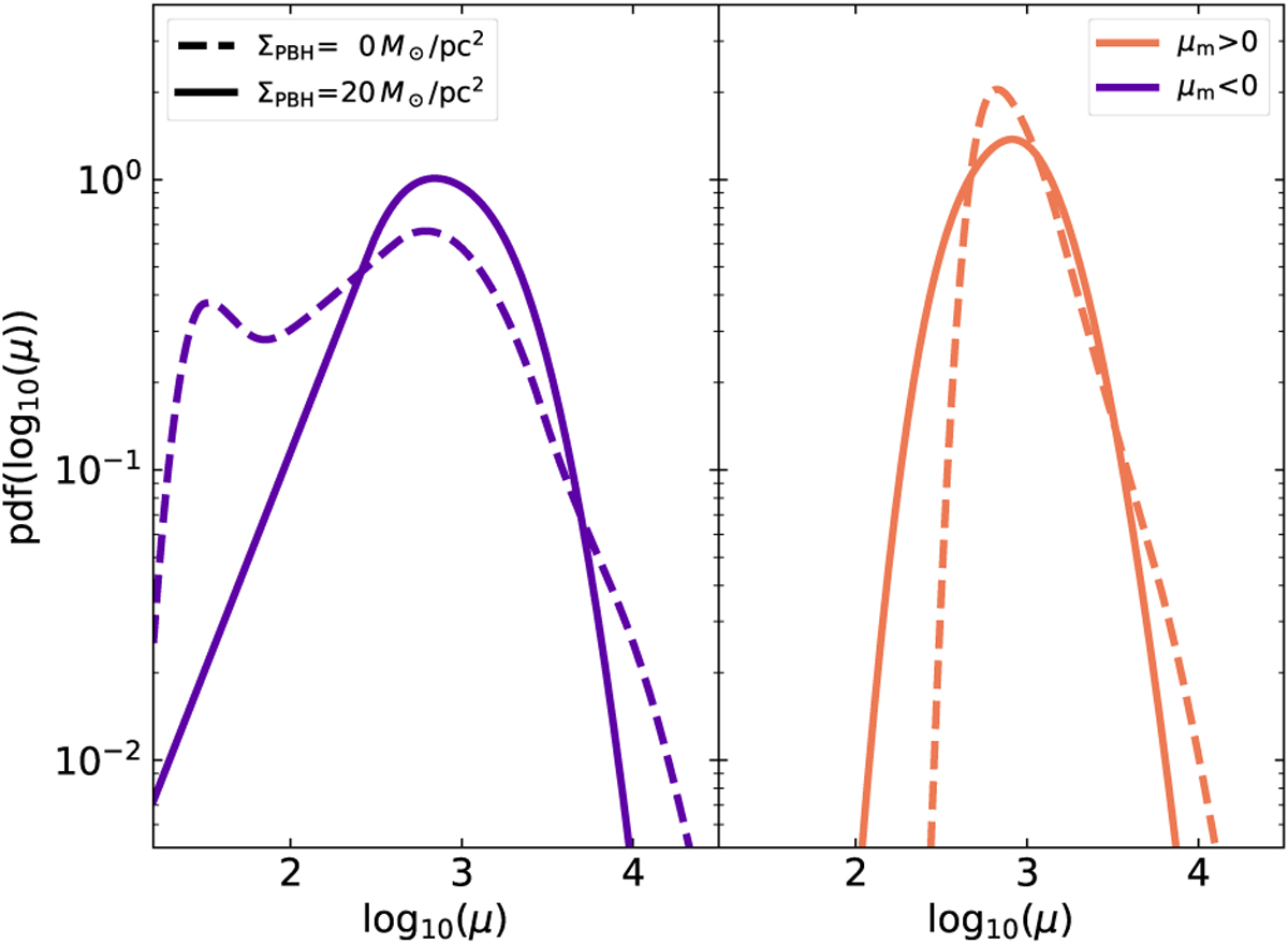
Magnification probability for a case with ∑eff/∑crit = 2, in both parity regimes. This mimics the magnification probability of a hypothetical microlensing population consisting of 5 M⊙/pc2 stars and 20 M⊙ pc−2 PBHs. The critical density is ∑crit = 2500 M⊙ pc−2. μt = 200 and μr = 4. Left panel: negative macro-magnification. Right panel: positive macro-magnification. The dashed curve represents the magnification probability for the same system with no PBHs.
Current usage metrics show cumulative count of Article Views (full-text article views including HTML views, PDF and ePub downloads, according to the available data) and Abstracts Views on Vision4Press platform.
Data correspond to usage on the plateform after 2015. The current usage metrics is available 48-96 hours after online publication and is updated daily on week days.
Initial download of the metrics may take a while.