Fig. A.2

Download original image
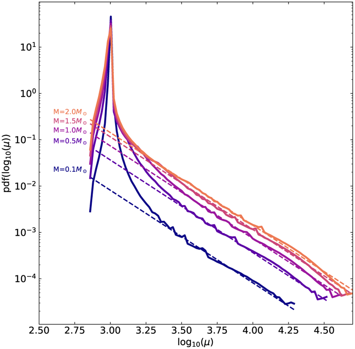
Magnification probability approximation for an inverse ray-shooting simulation of an isolated microlens near a macro-CC. Each curve represents a different microlens mass. For a fixed pixel size (2 nas), the maximum magnification we can measure increases with he mass of the microlens. The dashed lines represents the μ−2 power-law that govern the magnification probability at high magnification factor in this regime. The amplitude of this power-law increases cuadratically as seen in Sec. (4).
Current usage metrics show cumulative count of Article Views (full-text article views including HTML views, PDF and ePub downloads, according to the available data) and Abstracts Views on Vision4Press platform.
Data correspond to usage on the plateform after 2015. The current usage metrics is available 48-96 hours after online publication and is updated daily on week days.
Initial download of the metrics may take a while.