Fig. 3

Download original image
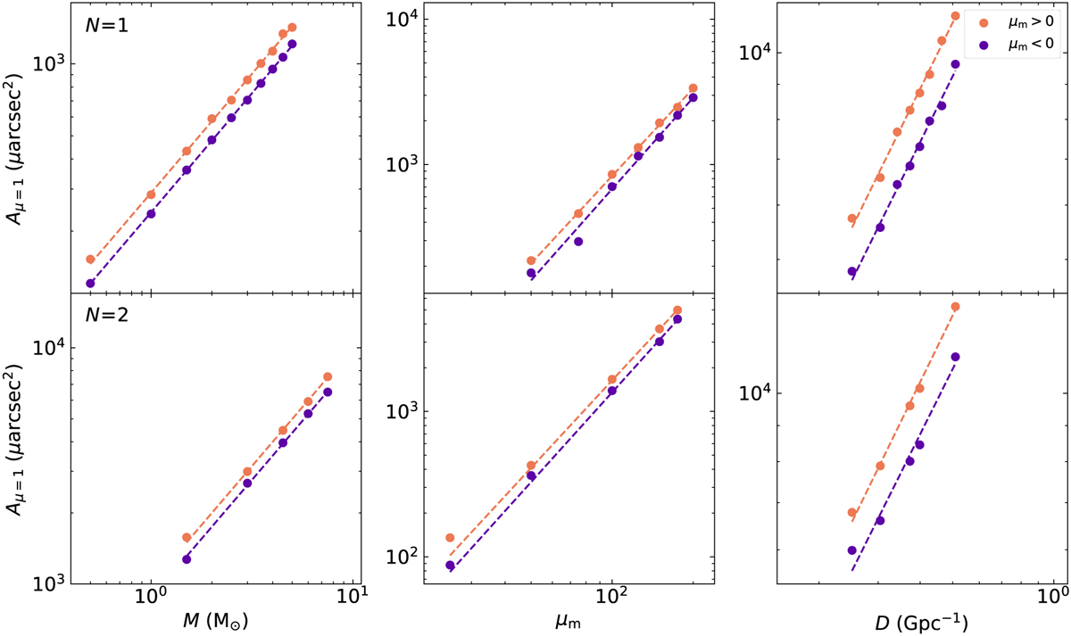
Extrapolated value of the power-law ∝ μ−2 at μ = 1 from the probability distribution function of a system of N microlenses in the vicinity of a macro-CC. The case of one microlens is shown in the top row. The case for two microlenses is shown in the bottom row. We have changed the total mass of the microlenses, the magnification from the macro model and the reduced distance in the first, second and third columns respectively, while keeping the other parameters fixed. Note that for both systems the amplitude scales at the same rate for each parameter. All these lens systems have ∑eff ≪ ∑crit. Dashed lines represent the best fit to a powerlaw obtained by χ2 minimisation. We found that the amplitude scales linearly with the reduced distance and it scales cuadratically with the macro-magnification and the mass of the lenses.
Current usage metrics show cumulative count of Article Views (full-text article views including HTML views, PDF and ePub downloads, according to the available data) and Abstracts Views on Vision4Press platform.
Data correspond to usage on the plateform after 2015. The current usage metrics is available 48-96 hours after online publication and is updated daily on week days.
Initial download of the metrics may take a while.