Fig. 10.

Download original image
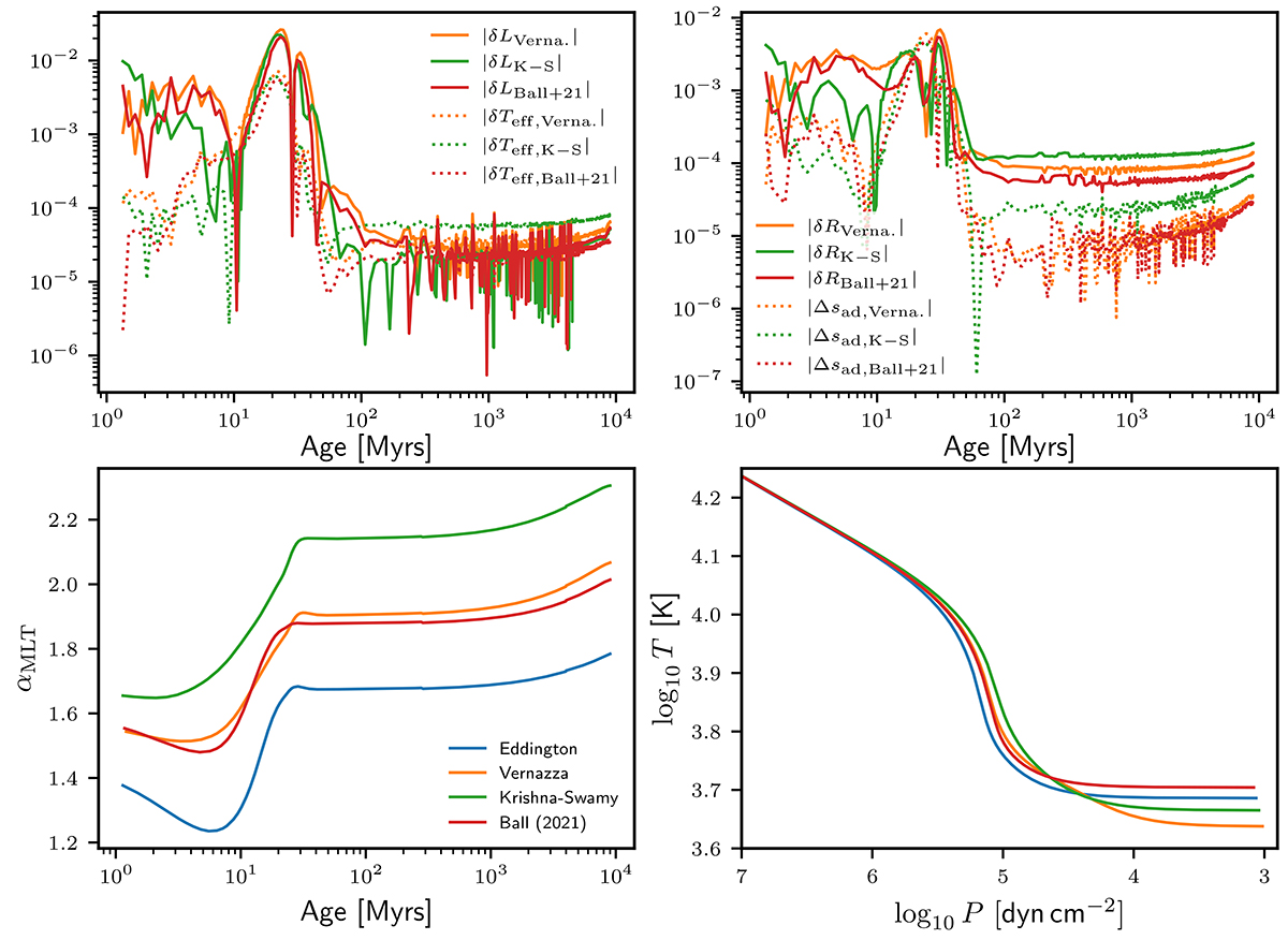
Comparison of luminosity (solid lines) and effective temperature (dashed lines) for four models computed with different choices of T(τ) relation (top-left). The displayed quantity is the relative difference of L or Teff, with respect to model computed with the Eddington T(τ) relation: δX ≡ (XT(τ) − XEdding.)/XEdding.. Top right panel is the same as top left panel but, instead of X ≡ sad, we display the absolute difference. Indeed, with sad being defined up to a constant, the relative difference would have no meaning. Also, Δspresc is in the units: 109 erg g−1 K−1. Bottom left panel: evolution of αMLT for different T(τ) relations: Eddington (blue), Vernazza et al. (1981) Model-C (orange), Krishna Swamy (1966) (green), and Ball (2021) (red). Bottom right panel: temperature as a function of the pressure for the same four final models at solar age.
Current usage metrics show cumulative count of Article Views (full-text article views including HTML views, PDF and ePub downloads, according to the available data) and Abstracts Views on Vision4Press platform.
Data correspond to usage on the plateform after 2015. The current usage metrics is available 48-96 hours after online publication and is updated daily on week days.
Initial download of the metrics may take a while.