Fig. 12.

Download original image
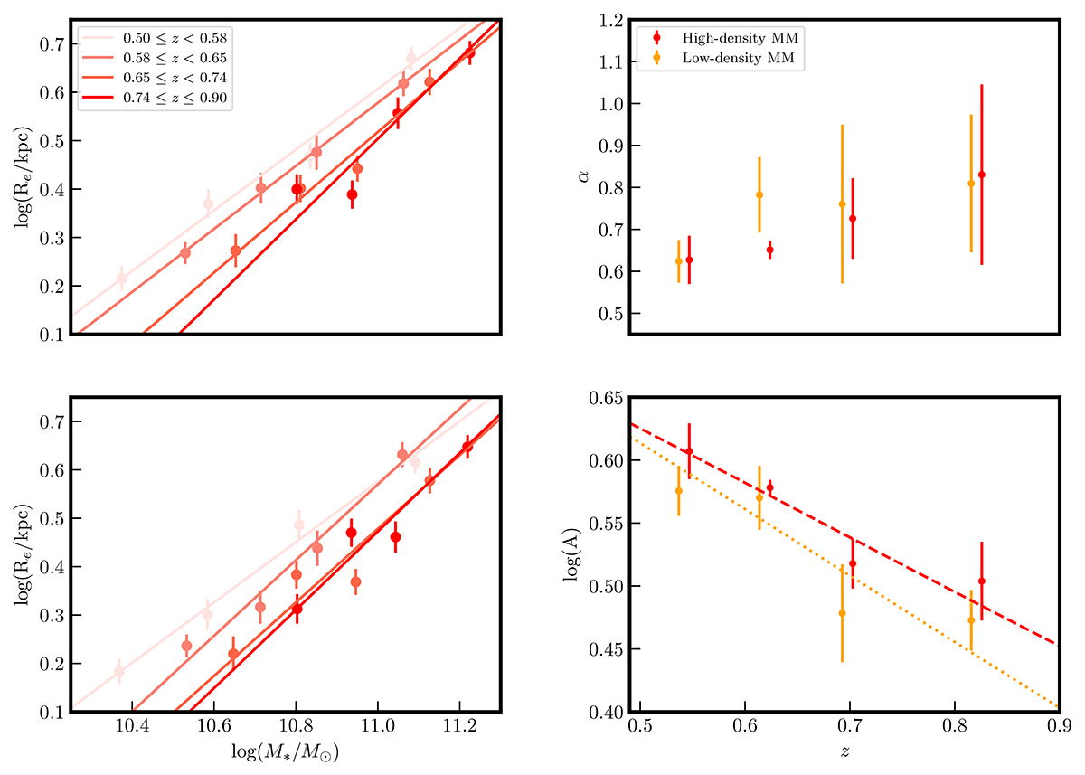
MSR for quiescent galaxies in different redshift bins for the HD (top left) and LD (bottom left) environments, and α (top right) and log(A) (bottom right) as a function of redshift for the HD (red) and LD (orange) environments. The fitted evolutionary trends are shown as red dashed and orange dotted lines. The data showing the evolution of α and log(A) between LD and HD are shown with a slight offset to make the errorbars visible.
Current usage metrics show cumulative count of Article Views (full-text article views including HTML views, PDF and ePub downloads, according to the available data) and Abstracts Views on Vision4Press platform.
Data correspond to usage on the plateform after 2015. The current usage metrics is available 48-96 hours after online publication and is updated daily on week days.
Initial download of the metrics may take a while.