Open Access
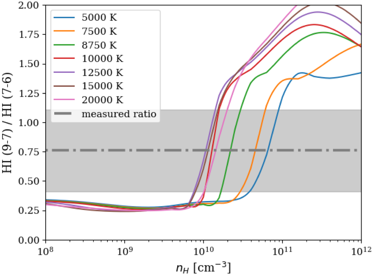
Fig. 9

Download original image
HI (9-7) and HI (7-6) line ratios as a function of atomic hydrogen density according to the KF atomic emission model (Kwan & Fischer 2011) compared to our measured ratio, the gray dotted line. The shaded area is the uncertainty of the measured ratio.
Current usage metrics show cumulative count of Article Views (full-text article views including HTML views, PDF and ePub downloads, according to the available data) and Abstracts Views on Vision4Press platform.
Data correspond to usage on the plateform after 2015. The current usage metrics is available 48-96 hours after online publication and is updated daily on week days.
Initial download of the metrics may take a while.