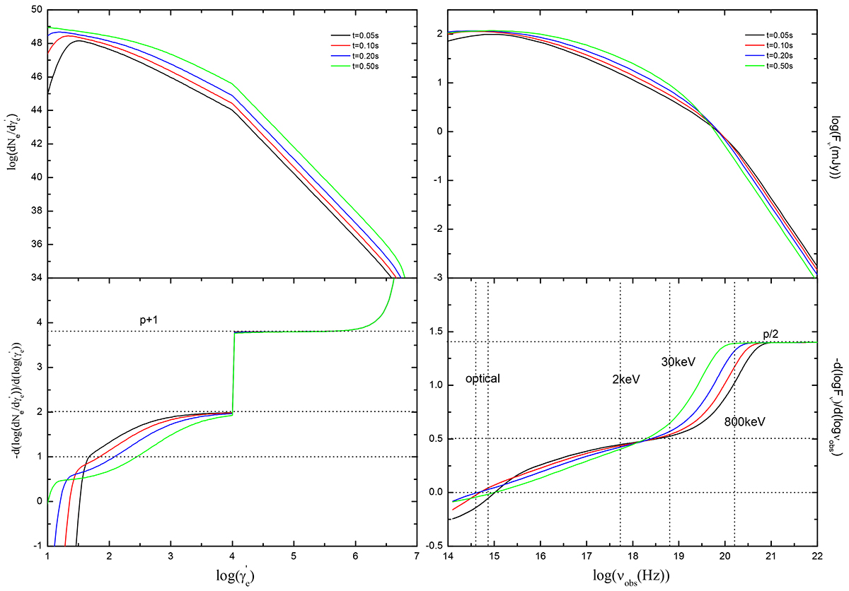
Fig. 4.

Download original image
Evolution of electron distribution (the upper left panel) and corresponding flux-density spectra (the upper right panel) for the on-beaming case in our polarization calculation. The bottom panels show the negative spectral index of the electron distribution (the bottom left panel) and flux-density spectra (the bottom right panel), respectively. The cases in the optical, X-ray, and γ-ray bands are marked in the bottom right panel, respectively.
Current usage metrics show cumulative count of Article Views (full-text article views including HTML views, PDF and ePub downloads, according to the available data) and Abstracts Views on Vision4Press platform.
Data correspond to usage on the plateform after 2015. The current usage metrics is available 48-96 hours after online publication and is updated daily on week days.
Initial download of the metrics may take a while.