Open Access
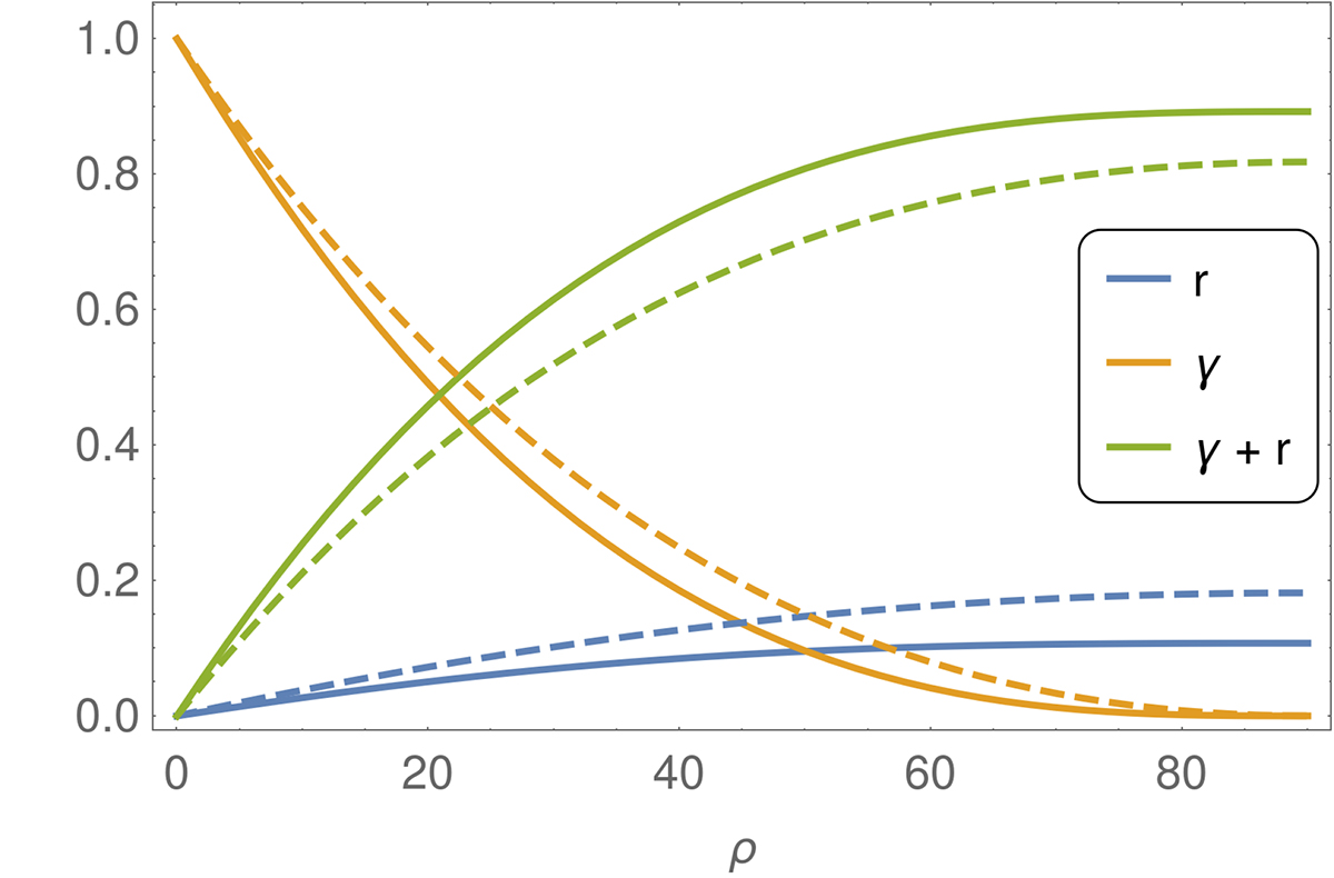
Fig. 12.

Download original image
Fraction of radio-only pulsars (r), γ-only pulsars (γ), and radio-loud γ-ray pulsars (γ + r) as a function of the radio beam cone half-opening angle, ρ. The solid line represents the results for an isotropic χ, whereas the dashed line represents them for a uniform χ.
Current usage metrics show cumulative count of Article Views (full-text article views including HTML views, PDF and ePub downloads, according to the available data) and Abstracts Views on Vision4Press platform.
Data correspond to usage on the plateform after 2015. The current usage metrics is available 48-96 hours after online publication and is updated daily on week days.
Initial download of the metrics may take a while.