Fig. 9.

Download original image
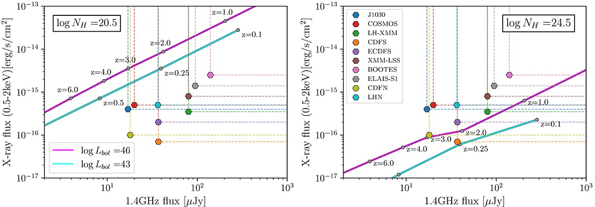
Median SB X-ray and 1.4 GHz detection fluxes for each of the fields color-coded as labeled in the right panel. The two panels consider tracks for two different levels of AGN obscuration: log NH = 20.5 (left) and log NH = 24.5 (right). In cyan and in magenta we show the typical 0.5 − 2 keV versus 1.4 GHz flux tracks, computed at different redshifts, for an AGN with log Lbol = 43 and log Lbol = 46, respectively.
Current usage metrics show cumulative count of Article Views (full-text article views including HTML views, PDF and ePub downloads, according to the available data) and Abstracts Views on Vision4Press platform.
Data correspond to usage on the plateform after 2015. The current usage metrics is available 48-96 hours after online publication and is updated daily on week days.
Initial download of the metrics may take a while.