Fig. 8

Download original image
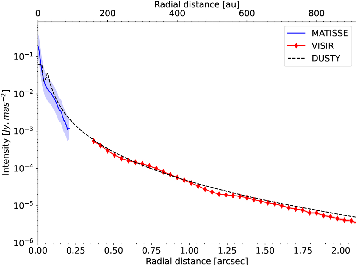
Radial intensity cut of the 11.4 μm emission around V Hya, averaged over azimuthal angle. The MATISSE radial profiles (blue line, and its relative error represented by the shaded light blue area) are calibrated taking a photospheric radius of 12.3±5.0 mas. The VISIR radial profiles are displayed with square red symbols. The DUSTY model profile, downgraded to the MATISSE resolution, is displayed by the dashed black line.
Current usage metrics show cumulative count of Article Views (full-text article views including HTML views, PDF and ePub downloads, according to the available data) and Abstracts Views on Vision4Press platform.
Data correspond to usage on the plateform after 2015. The current usage metrics is available 48-96 hours after online publication and is updated daily on week days.
Initial download of the metrics may take a while.