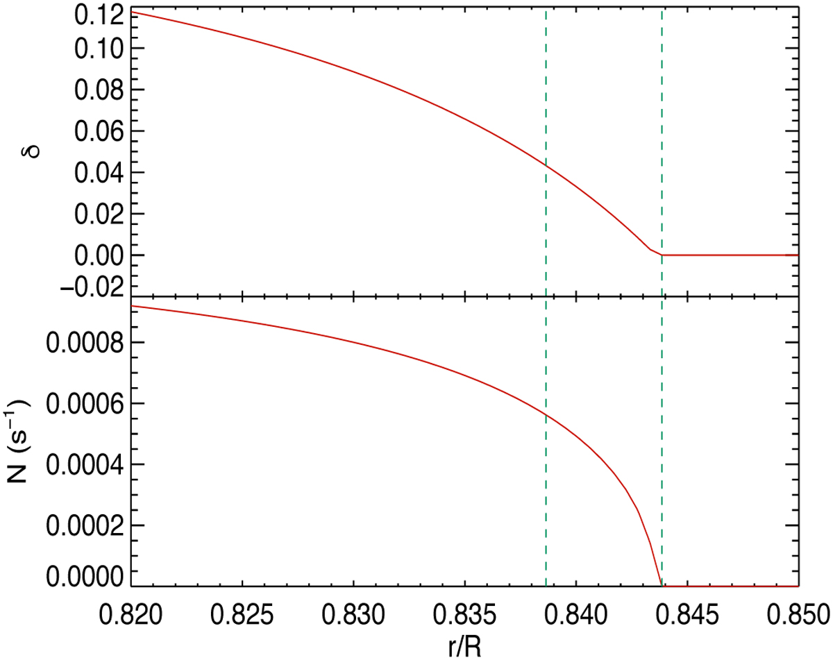
Fig. 4

Download original image
Difference of δ = ∇ađ – ∇ between the adiabatic thermal gradient and the actual stellar thermal gradient (upper panel) and the Brunt-Väisäla frequency N (lower panel) vs. the stellar radius r in units of the photospheric radius R (red solid lines). The vertical green dashed lines bound a layer of thickness Lp = 0.1 Hp, where Hp is the pressure scale height at the base of the stellar convection zone.
Current usage metrics show cumulative count of Article Views (full-text article views including HTML views, PDF and ePub downloads, according to the available data) and Abstracts Views on Vision4Press platform.
Data correspond to usage on the plateform after 2015. The current usage metrics is available 48-96 hours after online publication and is updated daily on week days.
Initial download of the metrics may take a while.