Fig. 2.

Download original image
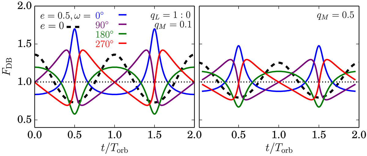
Comparison of continuum light curves emitted by BBH systems when only the secondary BH is active with mass ratio qM = 0.1 (left panel) and 0.5 (right panel) at iobs = 60°. The black dashed line shows the light curve from the system with circular orbit (e = 0), the other four lines colored from blue to red show those resulted from elliptical orbits (e = 0.5), with four different position angles of their major axes ω varying from 0° to 270°. The horizontal dotted line shows the light curve without the Doppler Boosting effect.
Current usage metrics show cumulative count of Article Views (full-text article views including HTML views, PDF and ePub downloads, according to the available data) and Abstracts Views on Vision4Press platform.
Data correspond to usage on the plateform after 2015. The current usage metrics is available 48-96 hours after online publication and is updated daily on week days.
Initial download of the metrics may take a while.