Fig. 7.

Download original image
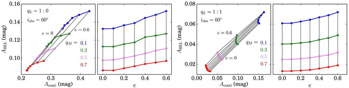
Variation of BEL amplitudes (ABEL) with different continuum amplitudes (Aconti) and orbital eccentricities (e) of BBHs with M•• = 109 M⊙ at ω = 0°. The two left columns show ABEL as a function of Aconti (left panel) and e (middle-left panel) for the case when only the secondary BH is active (qL = 1 : 0), and the two right columns show ABEL vs. Aconti (middle-right panel) and ABEL vs. e (right panel) for the case when both the BHs are active with qL = 1 : 1. In each panel, the points connected by lines of the same color show results of a fixed mass ratio, and the four different mass ratios qM = 0.1, 0.3, 0.5, and 0.7 are colored in blue, green, violet, and red, respectively. Each group of four points with different qM but the same e are linked by gray lines.
Current usage metrics show cumulative count of Article Views (full-text article views including HTML views, PDF and ePub downloads, according to the available data) and Abstracts Views on Vision4Press platform.
Data correspond to usage on the plateform after 2015. The current usage metrics is available 48-96 hours after online publication and is updated daily on week days.
Initial download of the metrics may take a while.