Fig. A.1.

Download original image
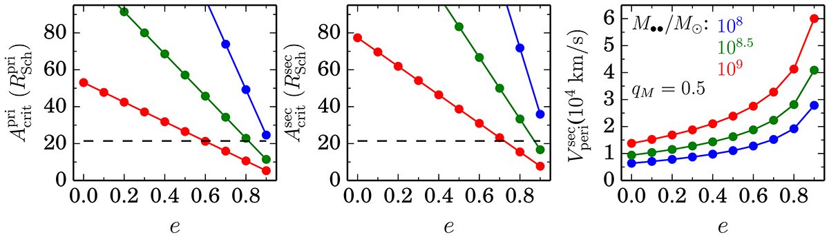
Radii of Roche lobes of BBHs and rotating velocity of the secondary BH at the orbital pericenter as a function of orbital eccentricity of the two BHs. The left and middle panels show the radii of Roche lobes ( and
) in units of the Schwarzschild radii for the primary (
) and secondary (
) BHs, respectively. The typical radius of the UV emission (rUV) in the accretion disk for a M• = 108.6 M⊙ is shown as a horizontal dashed line for comparison. The right panel presents the rotating velocity of the secondary BH at the pericenter (
), which is the maximum velocity in each period. In each panel are shown the results of M•• = 108 (blue), 108.5 (green), and 109 M⊙ (red) with Torb = 2 yr and qM = 0.5. Considering that the UV emission might disappear when Rcrit ≲ rUV, the current model configuration only focuses on those systems with Rcrit ≳ rUV, i.e., e ≲ 0.6 for M•• = 109 M⊙ as a case study.
Current usage metrics show cumulative count of Article Views (full-text article views including HTML views, PDF and ePub downloads, according to the available data) and Abstracts Views on Vision4Press platform.
Data correspond to usage on the plateform after 2015. The current usage metrics is available 48-96 hours after online publication and is updated daily on week days.
Initial download of the metrics may take a while.