Fig. 5

Download original image
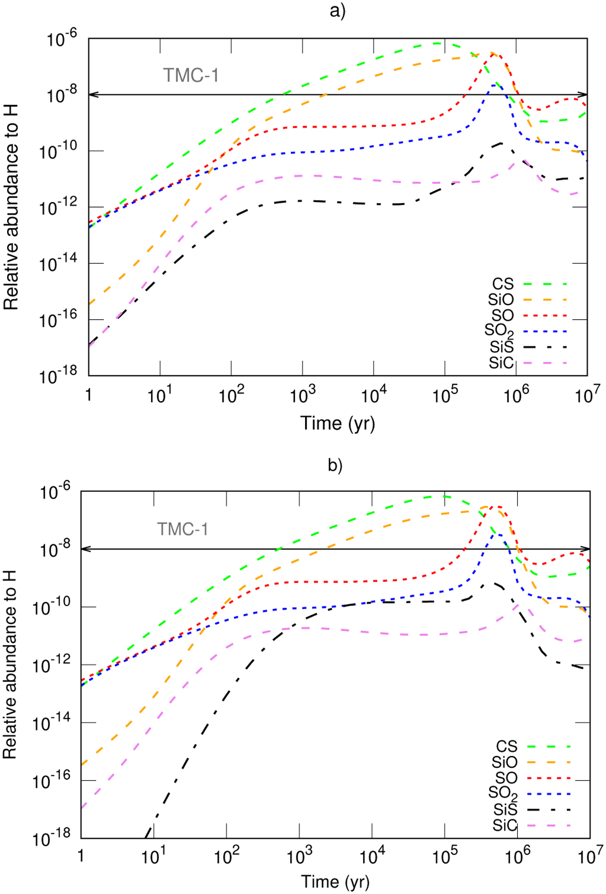
Time evolution of abundances of CS, SiO, SO, SO2, SiS, and SiC under interstellar conditions T = 10 K, nH = 2 × 104 cm−3. (a) Accounting for all the newly computed chemical reactions in this work listed in Table 2 as well as the KIDA default network, and (b) only employing the KIDA default network of chemical reactions. The horizontal arrows illustrates the observed abundance of SO in TMC-1 (Lique et al. 2006) for comparison.
Current usage metrics show cumulative count of Article Views (full-text article views including HTML views, PDF and ePub downloads, according to the available data) and Abstracts Views on Vision4Press platform.
Data correspond to usage on the plateform after 2015. The current usage metrics is available 48-96 hours after online publication and is updated daily on week days.
Initial download of the metrics may take a while.