Fig. 14

Download original image
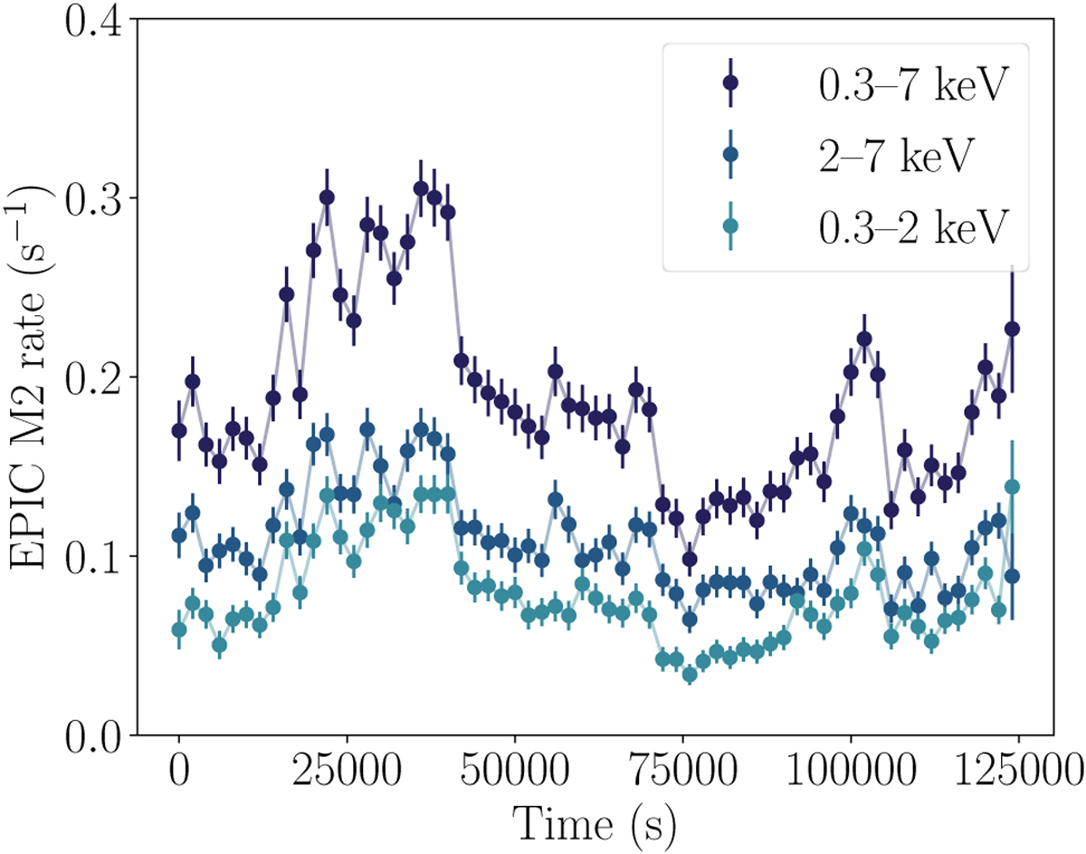
EPIC MOS2 lightcurves of 4XMM J023228.8+202349 (ObsID 0810821801), binned at 2 ks. The soft (0.3–2 keV) and hard (2–7 keV) emission evolve in a similar way, meaning that the change is not due to absorption (which would impact more significantly on the soft emission) but is intrinsic to the powerlaw component. A slight ~1ks lag is visible between the soft and hard emission.
Current usage metrics show cumulative count of Article Views (full-text article views including HTML views, PDF and ePub downloads, according to the available data) and Abstracts Views on Vision4Press platform.
Data correspond to usage on the plateform after 2015. The current usage metrics is available 48-96 hours after online publication and is updated daily on week days.
Initial download of the metrics may take a while.