Open Access
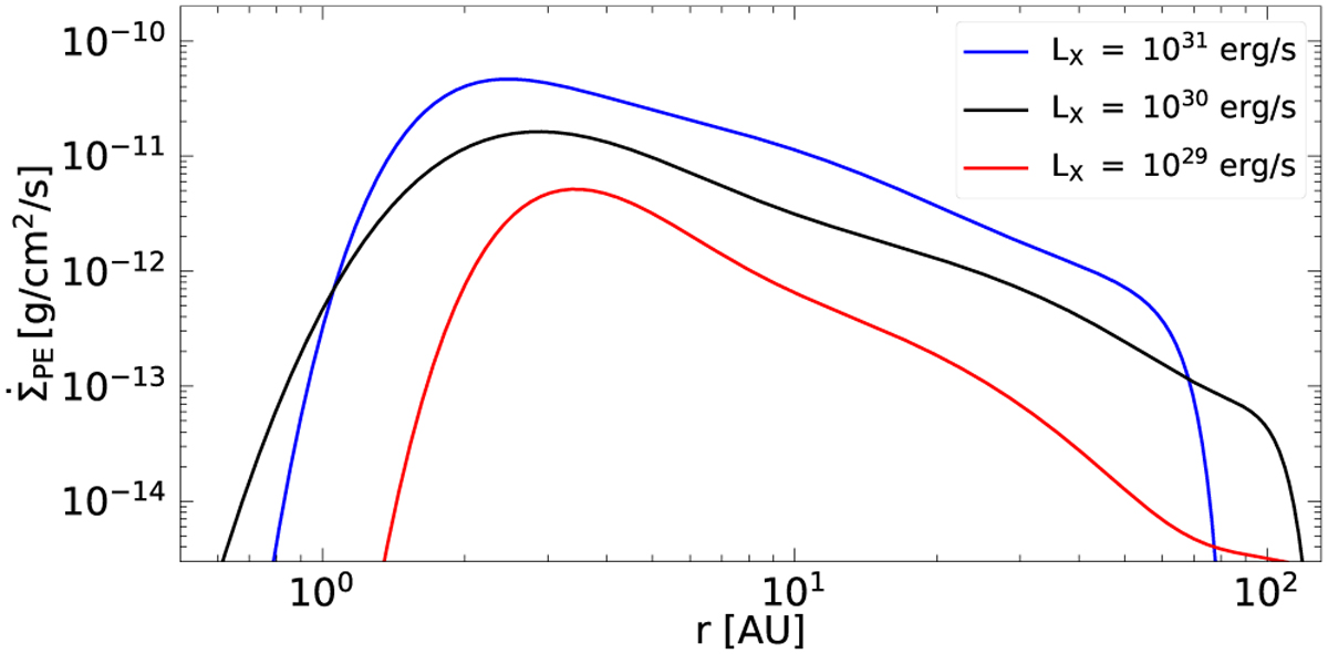
Fig. 1

Download original image
Mass-loss rate due to photoevaporation for different X-ray luminosities with respect to the disk radius. The blue, black, and red lines correspond to an X-ray luminosity of LX = 1031, 1030, and 1029 erg s−1, respectively.
Current usage metrics show cumulative count of Article Views (full-text article views including HTML views, PDF and ePub downloads, according to the available data) and Abstracts Views on Vision4Press platform.
Data correspond to usage on the plateform after 2015. The current usage metrics is available 48-96 hours after online publication and is updated daily on week days.
Initial download of the metrics may take a while.