Fig. 1.

Download original image
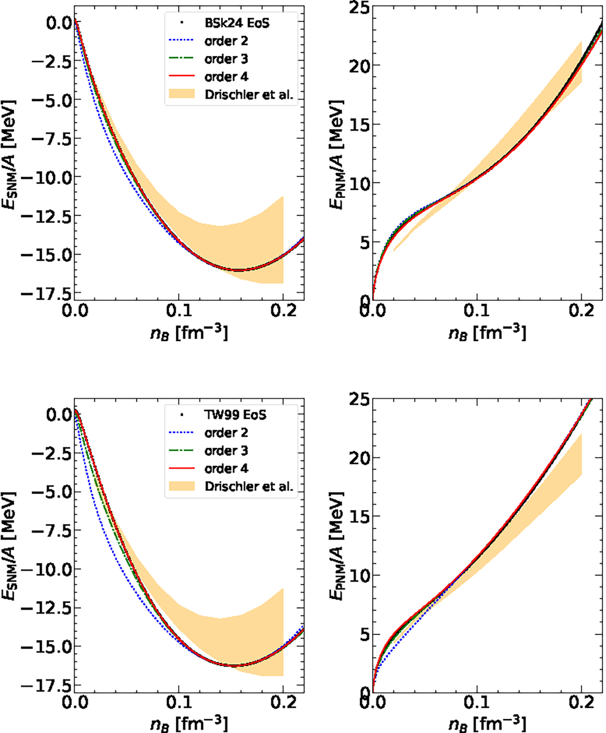
Energy per baryon versus baryon number density for symmetric nuclear matter (SNM; left panels) and for pure neutron matter (PNM; right panels), for the BSk24 (top panels) and the TW99 (bottom panels) models. Dots correspond to the results obtained using the original set of isoscalar and isovector parameters, while dotted blue lines, dash-dotted green lines, and solid red lines correspond to the results from the reconstruction at order 2, 3, and 4, respectively. For comparison, the chiral-EFT calculations of Drischler et al. (2016) are also shown (yellow bands; see text for details).
Current usage metrics show cumulative count of Article Views (full-text article views including HTML views, PDF and ePub downloads, according to the available data) and Abstracts Views on Vision4Press platform.
Data correspond to usage on the plateform after 2015. The current usage metrics is available 48-96 hours after online publication and is updated daily on week days.
Initial download of the metrics may take a while.