Fig. 11.

Download original image
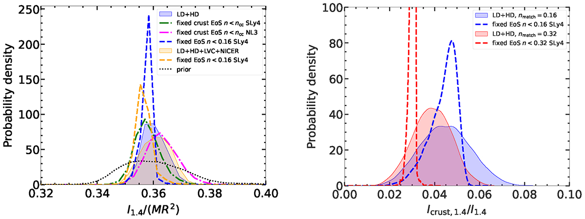
Posterior distributions for moment of inertia of a 1.4 M⊙ NS. Left panel: same as in Fig. 5, but for normalised moment of inertia I1.4/(MR2). Right panel: same as in Fig. 6, but for moment of inertia of crust, Icrust, 1.4/I1.4 for nmatch = 0.16 fm−3 (blue) and nmatch = 0.32 fm−3 (red), when the LD+HD constraints are applied.
Current usage metrics show cumulative count of Article Views (full-text article views including HTML views, PDF and ePub downloads, according to the available data) and Abstracts Views on Vision4Press platform.
Data correspond to usage on the plateform after 2015. The current usage metrics is available 48-96 hours after online publication and is updated daily on week days.
Initial download of the metrics may take a while.