Fig. 1.

Download original image
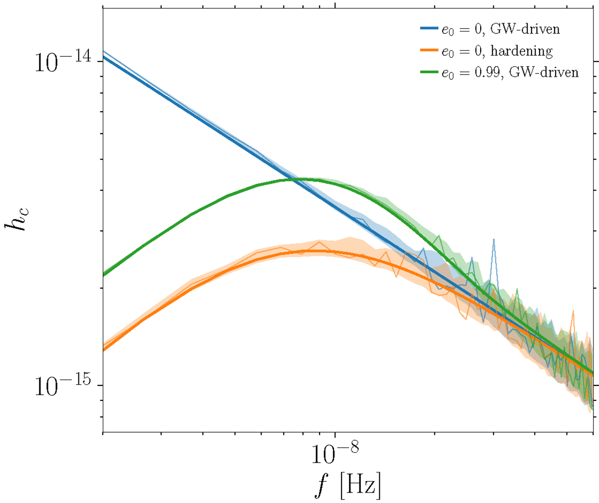
Characteristic strain as a function of frequency for three different universe models (log10A = −2, α = 0.3, β = 1, log10M0 = 8) featuring: circular GW-driven binaries (blue), circular but stellar+GW-driven binaries (ρ = 104 M⊙ pc−3, orange), and eccentric GW-driven binaries (e0 = 0.99 at 5 × 10−12 Hz, green). Thick lines denote the theoretical GWB, while shaded areas denote the 10th and 90th percentiles of the characteristic strain when different discrete realisations of the population are considered. The thin line of the same colour denotes one such realisation for each model.
Current usage metrics show cumulative count of Article Views (full-text article views including HTML views, PDF and ePub downloads, according to the available data) and Abstracts Views on Vision4Press platform.
Data correspond to usage on the plateform after 2015. The current usage metrics is available 48-96 hours after online publication and is updated daily on week days.
Initial download of the metrics may take a while.