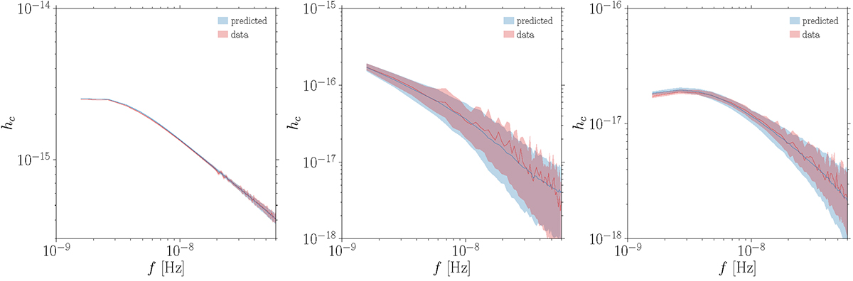
Fig. 5.

Download original image
GWB prediction of the NN model compared to three models of the test set of the database. Shaded areas denote the 10th and 90th percentiles of the characteristic strain, while the thin lines with the same colour represent one GWB realisation for each model. Left panel: universe parameters are log10A = 2.359, α = 0.343, β = 1.926, log10M0 = 8.041, log10ρ = 2.267, and e0 = 0.056. Middle panel: universe parameters are log10A = −6.599, α = 0.197, β = 1.109, log10M0 = 8.806, log10ρ = 0.562, and e0 = 0.079. Right panel: universe parameters are log10A = −5.51, α = 1.293, β = 0.578, log10M0 = 7.533, log10ρ = 0.73, and e0 = 0.957.
Current usage metrics show cumulative count of Article Views (full-text article views including HTML views, PDF and ePub downloads, according to the available data) and Abstracts Views on Vision4Press platform.
Data correspond to usage on the plateform after 2015. The current usage metrics is available 48-96 hours after online publication and is updated daily on week days.
Initial download of the metrics may take a while.