Fig. 3.

Download original image
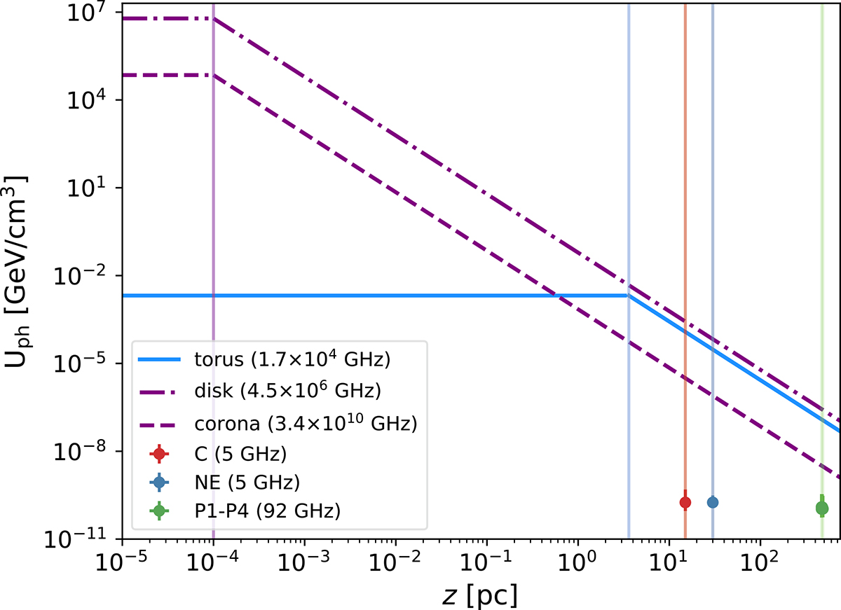
Differential photon energy densities at their characteristic frequencies. The data points for knot C and NE refer to the internal background photon energy densities according to Gallimore et al. (2004) (at 5 GHz) and the ones for P1-P4 refer to the data from Michiyama et al. (2022) (at 92 GHz). For the conversion of the radio data of the six knots knot radii of rk, 1 = 0.2 ± 0.1 pc, rk, 2 = 0.3 ± 0.15 pc and rk, 3 = 3.5 ± 1.75 pc, respectively, are assumed.
Current usage metrics show cumulative count of Article Views (full-text article views including HTML views, PDF and ePub downloads, according to the available data) and Abstracts Views on Vision4Press platform.
Data correspond to usage on the plateform after 2015. The current usage metrics is available 48-96 hours after online publication and is updated daily on week days.
Initial download of the metrics may take a while.