Fig. 6

Download original image
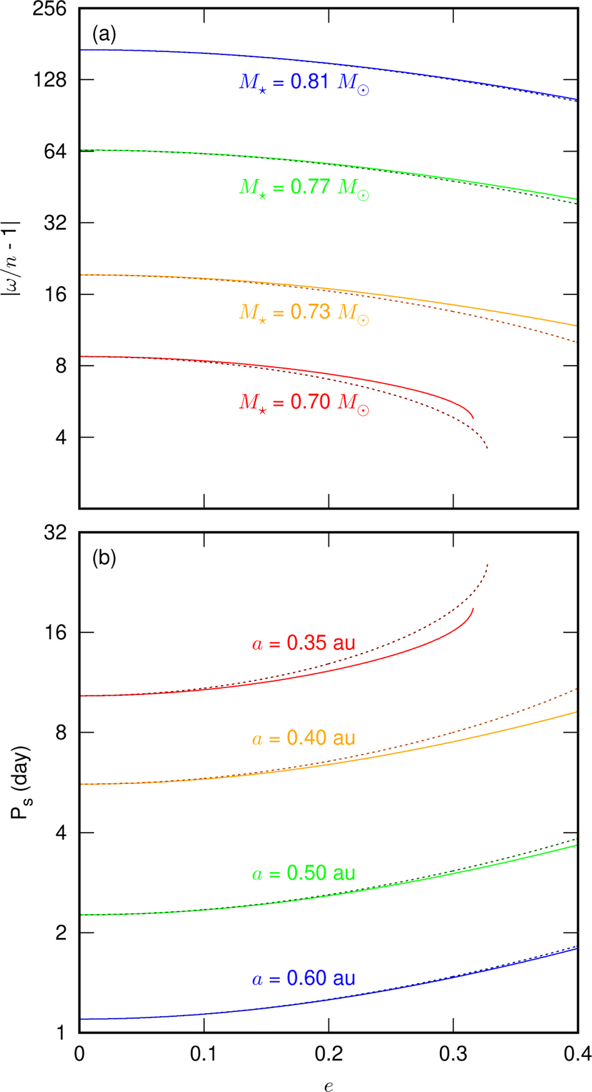
Relative synodic frequency, ωs/n = |ω/n − 1| (top), and respective synodic rotation period, Ps = 2π/ωs (bottom), of the stable asynchronous thermal equilibrium states as a function of the eccentricity for different values of the semi-major axis, a = 0.35,0.4,0.5,0.6 au, corresponding to the stellar masses M*/M⊙ ≈ 0.70, 0.73, 0.77, 0.81, respectively. The solid lines give the state with ω/n > 1 (super-synchronous), while the dashed lines give the state with ω/n < 1 (sub-synchronous). These plots are shown on a log-scale in the y-axis.
Current usage metrics show cumulative count of Article Views (full-text article views including HTML views, PDF and ePub downloads, according to the available data) and Abstracts Views on Vision4Press platform.
Data correspond to usage on the plateform after 2015. The current usage metrics is available 48-96 hours after online publication and is updated daily on week days.
Initial download of the metrics may take a while.