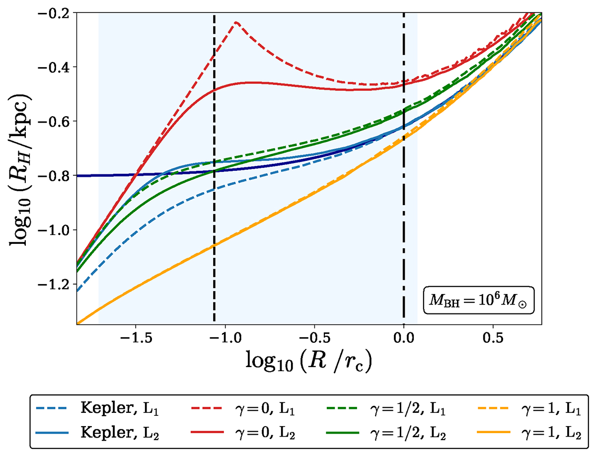
Fig. 5.

Download original image
Hill radius (RH) as a function of the black hole (BH) orbital radius R in units of the core radius for a mass MBH = 106 M⊙. The Hill radius is computed as the BH-L1 distance (dashed lines) and the BH-L2 length (solid lines). Four background potentials were considered : a Keplerian potential (shown as light-blue lines); and three α, β, γ profiles with α = 1, β = 3 and inner slopes γ = 0 (red), 1/2 (green) and 1 (yellow) respectively. The thick dark blue solid line is for the distant-tide approximation, which goes to a constant value as R → 0. On the figure, the shaded area denotes the scope of this study. The core stalling radius and galactic core radius are indicated by vertical lines. The separation of the dashed and solid lines indicates an asymmetry between L1 and L2 on either side of the black hole when entering the core region. Note that for the case of an NFW profile (γ = 1, yellow) the L1 and L2 solutions very nearly overlap inside the core. The discontinuity of the dashed red line shows a bifurcation of the Lagrange points in the core profile. It is striking that the Keplerian potential remains close to the distant-tide approximation well inside the core of the galaxy, before diverging significantly at log R/rc ≲ −1.3. By comparison, extended profiles may show differences with this approximation exceeding a factor 2 anywhere inside the core for γ = 0 (red).
Current usage metrics show cumulative count of Article Views (full-text article views including HTML views, PDF and ePub downloads, according to the available data) and Abstracts Views on Vision4Press platform.
Data correspond to usage on the plateform after 2015. The current usage metrics is available 48-96 hours after online publication and is updated daily on week days.
Initial download of the metrics may take a while.