Fig. 17.

Download original image
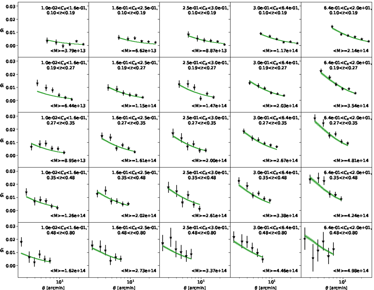
Stacked measured reduced tangential shear profiles with measurement uncertainty in black for different count rate (rows) and redshift (columns) bins. As a green line, the best-fit shear profile model and with filled green regions, the propagation of the posterior uncertainty on the mean model. The chosen model fits the data well at all count rates and redshifts. We also report the median WL mass of each bin in units of M⊙.
Current usage metrics show cumulative count of Article Views (full-text article views including HTML views, PDF and ePub downloads, according to the available data) and Abstracts Views on Vision4Press platform.
Data correspond to usage on the plateform after 2015. The current usage metrics is available 48-96 hours after online publication and is updated daily on week days.
Initial download of the metrics may take a while.