Open Access
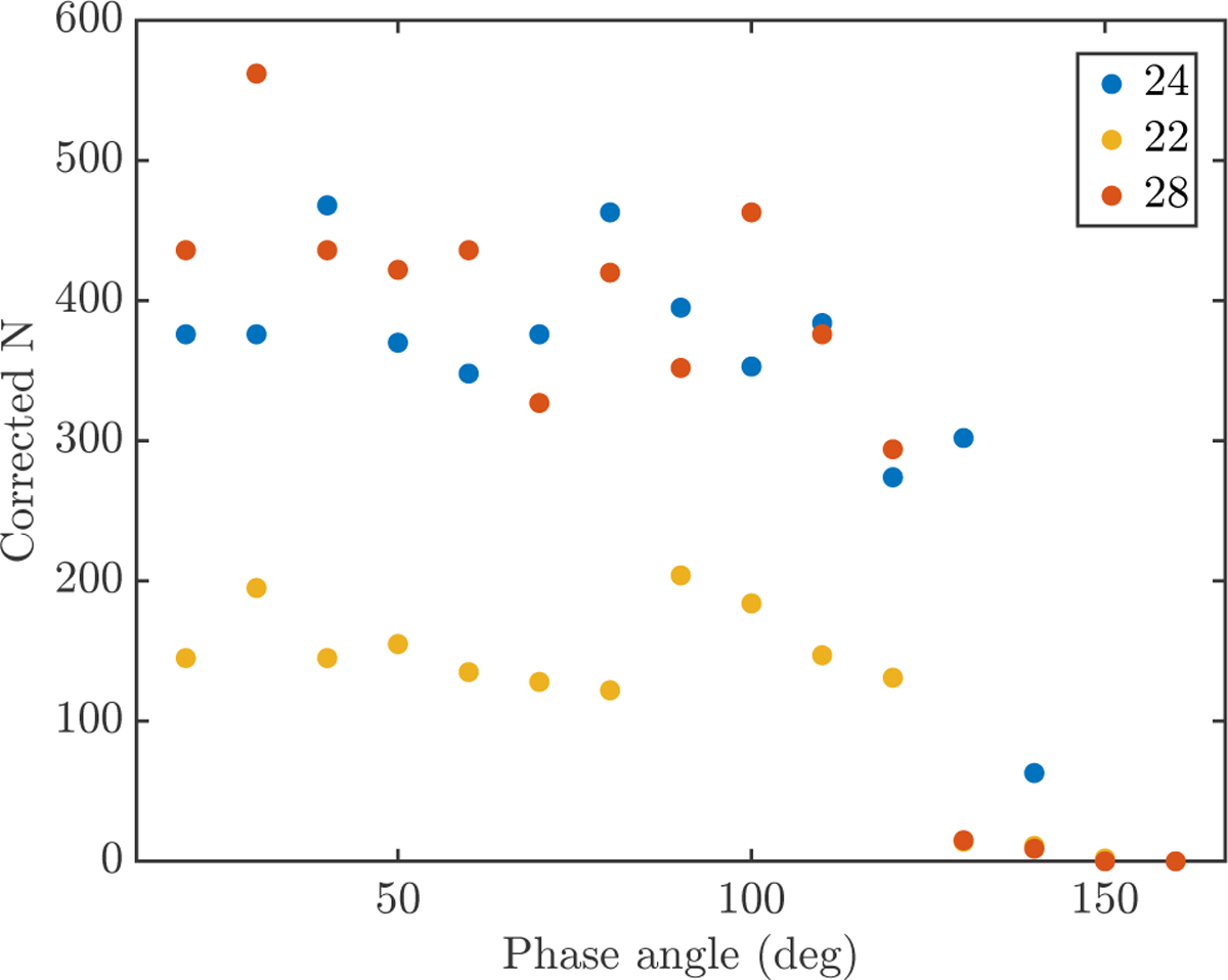
Fig. 13

Download original image
Number of tracks per image after phase-angle correction and brightness de-biasing as a function of the phase angle. This example shows the result for STP063. The colors indicate images obtained using different filters.
Current usage metrics show cumulative count of Article Views (full-text article views including HTML views, PDF and ePub downloads, according to the available data) and Abstracts Views on Vision4Press platform.
Data correspond to usage on the plateform after 2015. The current usage metrics is available 48-96 hours after online publication and is updated daily on week days.
Initial download of the metrics may take a while.