Fig. 5.

Download original image
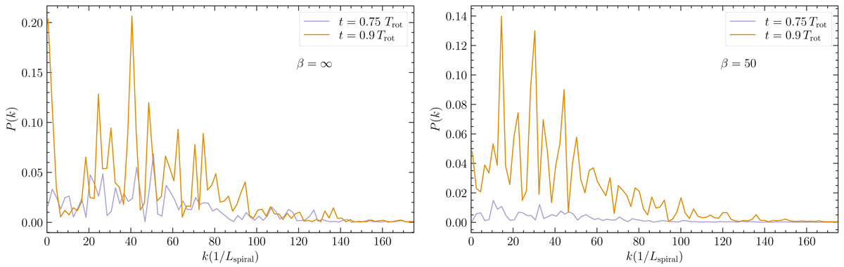
Fourier transform of the projected density in the spiral arms for the β = ∞ and β = 50 runs. The two solid lines show the Fourier transforms at t = 0.75, 0.90 Trot, analogous to the times shown in Fig. 1. The wave number k here is given in units of 1/Lspiral, i.e., k = 1 corresponds to the full length of the spiral arm under consideration. We can see that the β = 50 run has more power at lower k (larger scales) than the hydro run, as we visually saw in Fig. 2.
Current usage metrics show cumulative count of Article Views (full-text article views including HTML views, PDF and ePub downloads, according to the available data) and Abstracts Views on Vision4Press platform.
Data correspond to usage on the plateform after 2015. The current usage metrics is available 48-96 hours after online publication and is updated daily on week days.
Initial download of the metrics may take a while.