Fig. 1.

Download original image
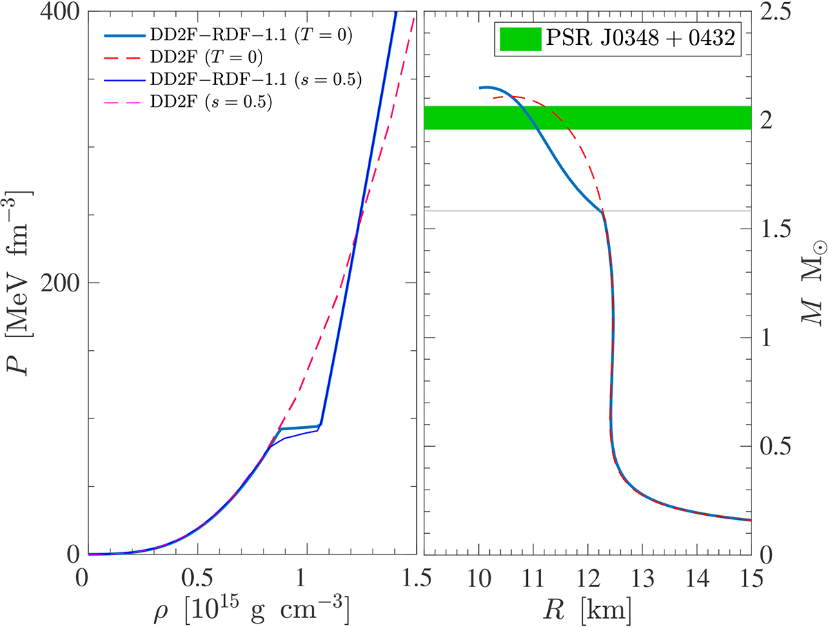
Comparison of the EOS at β-equilibrium for zero temperature (T = 0) and for a constant entropy per particle of s = 0.5 kB for DD2F-RDF-1.1 (solid light and dark blue lines) and DD2F (dashed red and magenta lines) with the corresponding DD2F hadronic EOS (red and magenta dashed lines, respectively, which are on top of each other for both configurations). Left panel: pressure P versus rest-mass density ρ. Right panel: mass M radius R relation. Included is an example for the high-precision maximum mass constraint of 2.01 ± 0.04 M⊙ (light grey band) deduced from the radio observations of PSR J0348+0432 of Antoniadis et al. (2013). The horizontal grey line in the mass-radius diagram marks the onset mass for the quark-hadron phase transition at M = 1.582 M⊙ for the EOS with s = 0.5 kB.
Current usage metrics show cumulative count of Article Views (full-text article views including HTML views, PDF and ePub downloads, according to the available data) and Abstracts Views on Vision4Press platform.
Data correspond to usage on the plateform after 2015. The current usage metrics is available 48-96 hours after online publication and is updated daily on week days.
Initial download of the metrics may take a while.