Open Access
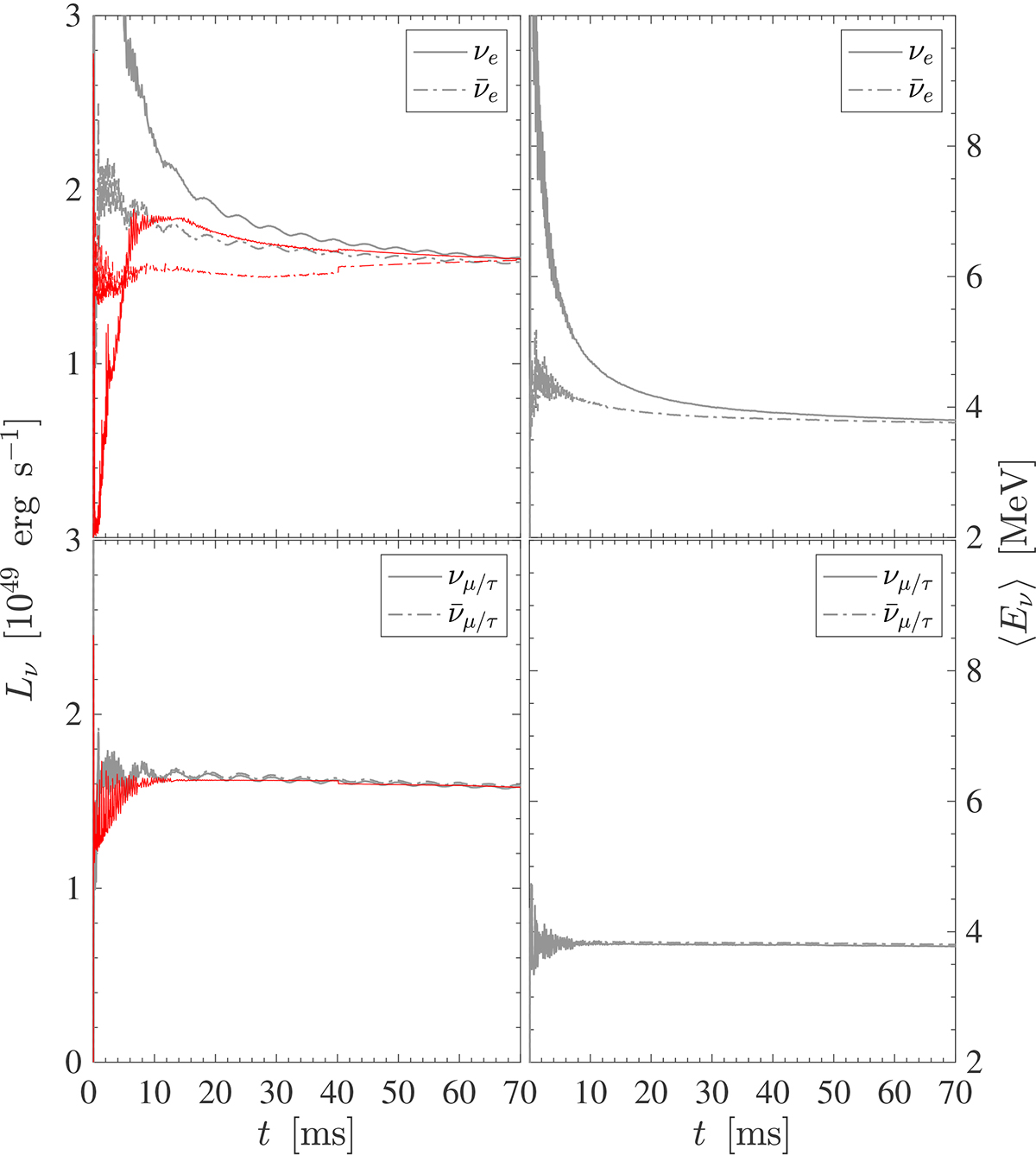
Fig. A.4.

Download original image
Evolution of neutrino luminosities (left panels) and average energies (right panels) for all νe and (top panels) and heavy lepton flavors (bottom panels), for the DD2F hadronic reference simulations (grey lines), in comparison to the diffusion approximation (red lines) following Expression (A.1).
Current usage metrics show cumulative count of Article Views (full-text article views including HTML views, PDF and ePub downloads, according to the available data) and Abstracts Views on Vision4Press platform.
Data correspond to usage on the plateform after 2015. The current usage metrics is available 48-96 hours after online publication and is updated daily on week days.
Initial download of the metrics may take a while.