Fig. 5.

Download original image
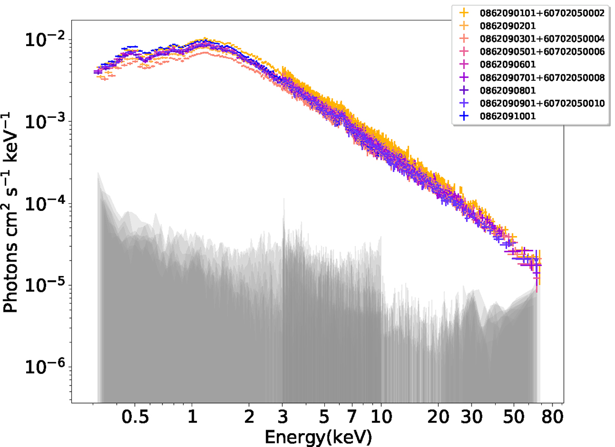
Background-subtracted XMM-Newton EPIC-pn and NuSTAR FPMA-B spectra and the corresponding background levels (shaded regions). The simultaneous XMM-Newton and NuSTAR observations are reported with the same color. The color code for different observations is the same as in Fig. 1. This color code is applied throughout the paper.
Current usage metrics show cumulative count of Article Views (full-text article views including HTML views, PDF and ePub downloads, according to the available data) and Abstracts Views on Vision4Press platform.
Data correspond to usage on the plateform after 2015. The current usage metrics is available 48-96 hours after online publication and is updated daily on week days.
Initial download of the metrics may take a while.